Question: Please Answer all 3 questions (3) Consider the Ivp y = xy Y(0) = 1, by using Eulers Method and step size h=1 What is
Please Answer all 3 questions



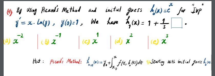
(3) Consider the "Ivp" y = xy Y(0) = 1, by using Eulers Method and step size h=1 What is the approximation for =Y(2)=0 (b) 1 (d) 3 ( 2 (ej 4 Hint Euler's Method: I = x + (n+1)= 4th & oth fla. y) (4). By using Picard's Method and initial guess hold) = ce for Iup' y = x. ln(y), 7(0)=1, We have h(x) = 1 +. (6 x 19 x | dj & ex Hat : Picados Methods 2 Cao: = y +) HH, teydt Starting with initial que han 2) -1 z (5). Consider the "IVP" y = x + y(0)=1 , then by using Taylor Series Methad the approximation of degree e is Bla) = 1+ex+(1+e). libe d) 2 Hint : Taylor Series Methad: Role) :=/4)=f(0,)2-8,) +-tur la-1," 2 e 10 M
Step by Step Solution
There are 3 Steps involved in it
Get step-by-step solutions from verified subject matter experts
