Question: please answer all and show work for all Find an equation of the tangent line to the graph of y(x)=8(xx1)2 at x=2. An equation of





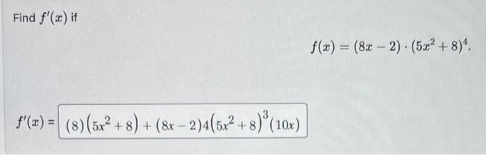
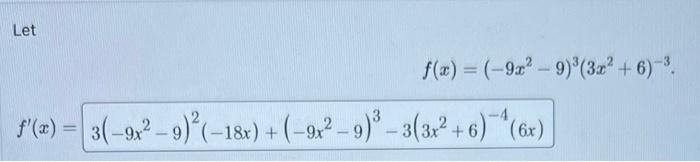
Find an equation of the tangent line to the graph of y(x)=8(xx1)2 at x=2. An equation of the tangent line is y= Round your constants to 3 decimal places if needed. Find f(x) if f(x)=(8x2)(5x2+8)4 f(x)=(8)(5x2+8)+(8x2)4(5x2+8)3(10x) Let f(x)=(9x29)3(3x2+6)3f(x)=3(9x29)2(18x)+(9x29)33(3x2+6)4(6x) f(x)=x4(6x2)2 Let f(x)=32x8x f(x)= A total-revenue function is given by R(x)=1500x20.2x where R(x) is the total revenue, in thousands of dollars, from the sale of x airplanes. Find the rate at which the total revenue is changing when 30 airplanes have been sold. doliars per airplane Round to two decimal places
Step by Step Solution
There are 3 Steps involved in it
Get step-by-step solutions from verified subject matter experts
