Question: Please answer all parts (a)-(d). Formula 3.6: Equation 3.7: (4 pts) Minimum Variance Frontier - Given 3 assets whose returns means, variances, and correlations are
Please answer all parts (a)-(d).
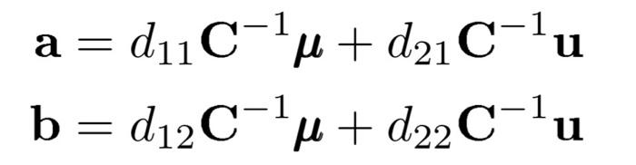
Formula 3.6:

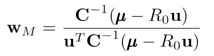
Equation 3.7:

(4 pts) Minimum Variance Frontier - Given 3 assets whose returns means, variances, and correlations are [5% H = 6% 3% O= 6% 8% 10% (100% 95% 90% p= 95% 100% 100% 80% 90% 80% 100% (a) Compute a, b in Formula 3.6. (b) What is the MVF evaluated at u = 6%? (c) Graph the MVF for 0 SM
Step by Step Solution
There are 3 Steps involved in it
1 Expert Approved Answer
Step: 1 Unlock
Question Has Been Solved by an Expert!
Get step-by-step solutions from verified subject matter experts
Step: 2 Unlock
Step: 3 Unlock
