Question: Please answer all question and show work for each problem. As well as a step by step break down for each question and write neatly






Please answer all question and show work for each problem. As well as a step by step break down for each question and write neatly as possible. Thank You!






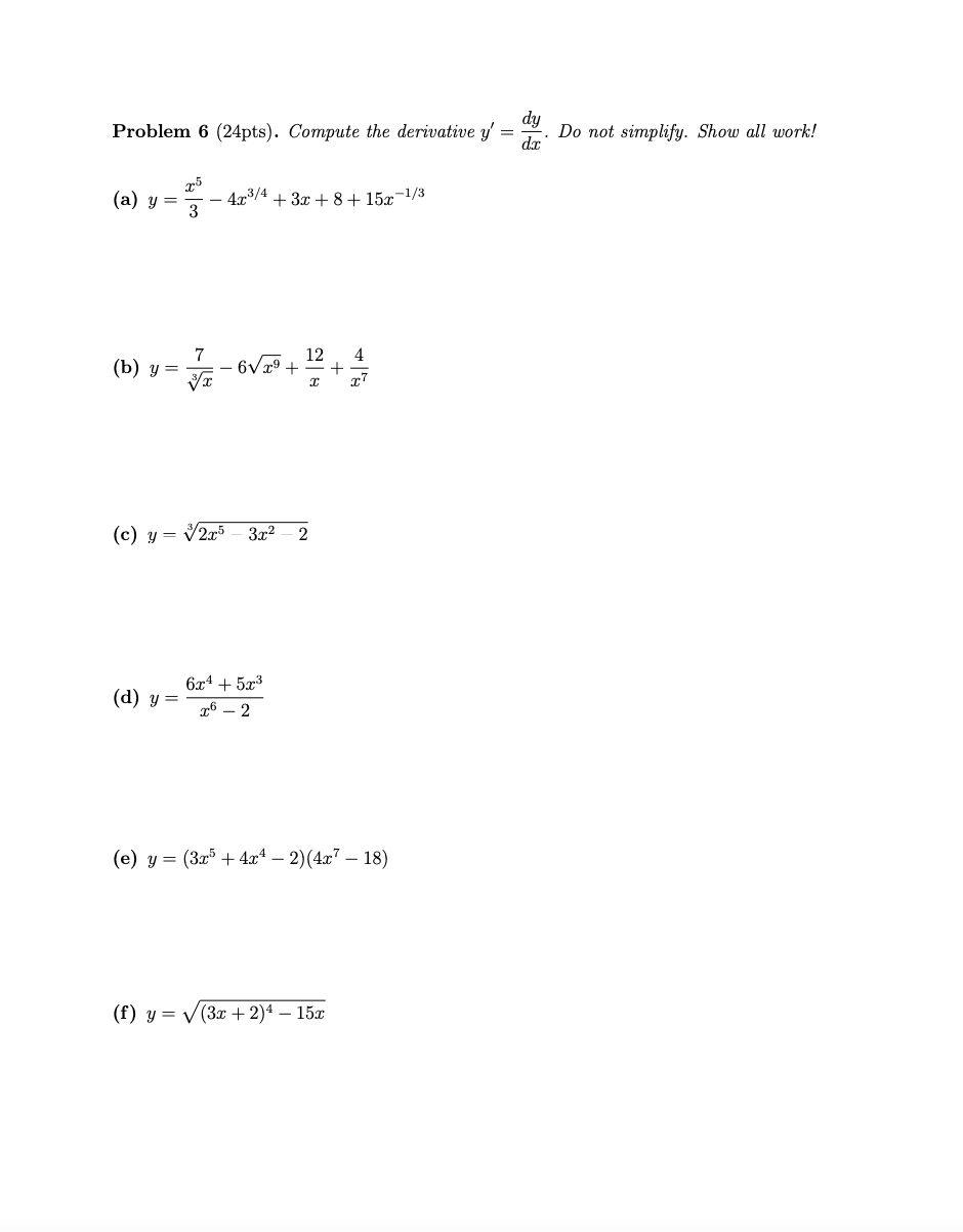
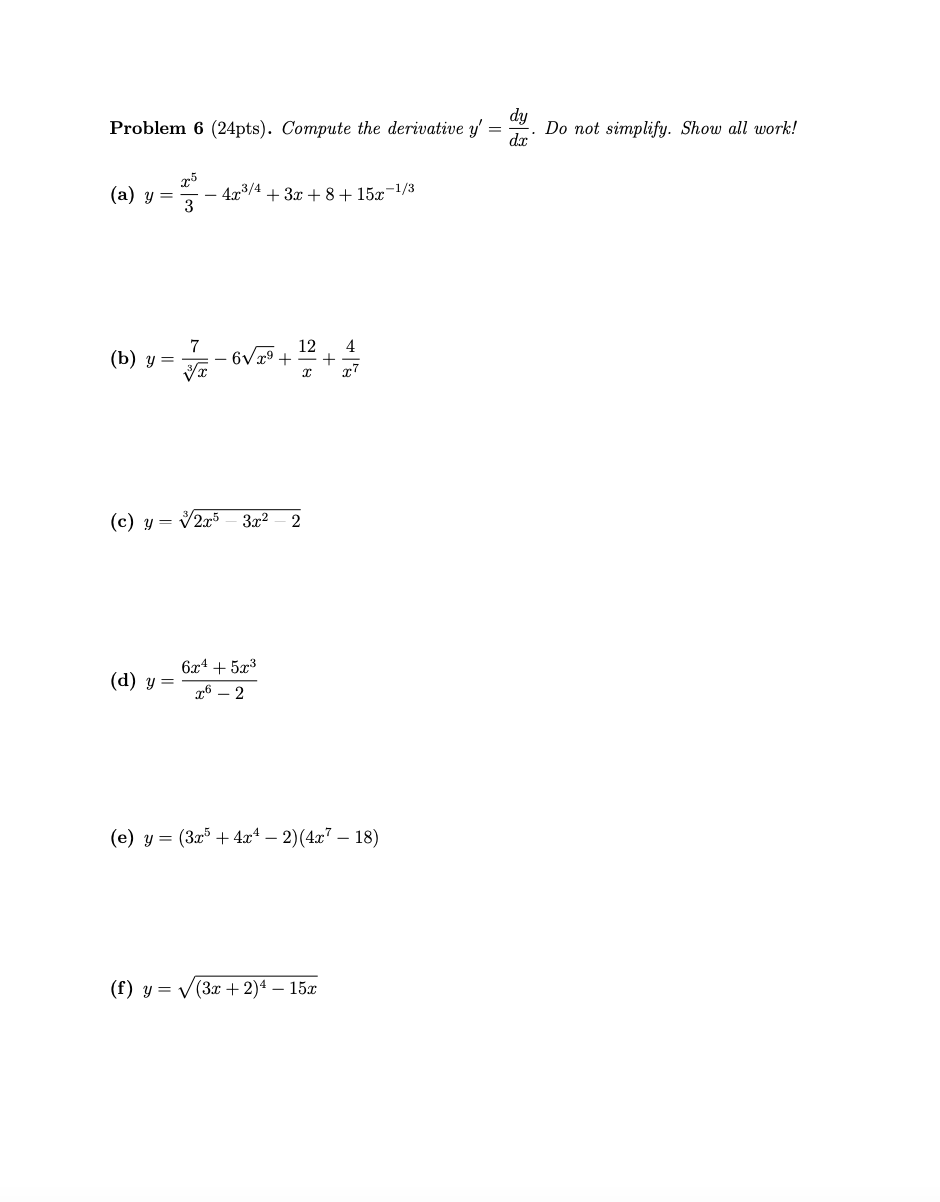
Business Calculus I (Math 221) Exam 1 September 28, 2016 Professor Ilya Kofman Justify answers and show all work for full credit. No calculators permitted on this exam. NAME: h(x ) 12 10 S 6 14 Problem 1 (20pts). The graph of y = f(x) is shown above. Evaluate each limit, or write DNE if the limit does not exist. No justifications are necessary for this problem. (a) lim f(x) = (b) lim f(x) = 2++10- (c) lim f(x) = (d) lim f(x) = (e) lim f(x) = 2-+6+ (f) lim f(x) = T-+6- (g) For f(x) to be continuous at r = -4, we must set f(-4) = (h) Estimate the derivative f'(0) = (i) Estimate the derivative f'(4) = (j) Estimate the derivative f'(12) =Problem 2 (12pts). Evaluate these limits. For an infinite limit, write too or -00. If a limit does not exist (DNE), you must justify. Show all work! (a) lim T' - 11x + 24 x - 3 x' + x - 20 (b) lim x2 - 25 1 (c) lim 1 +4- 3x - 12 -5x6 + 2x2 - 2 (d) lim 4x6 + 3x3 - 2x Problem 3 (8pts). Recall f'(a) = lim f(ath) - f(a) h-+0 h (a) If f(x) = 5x3, write the limit for f'(2). Do not evaluate this limit. (b) Show that g(x) = [r| is not differentiable at 0. Evaluate this limit. Show all work!Problem 4 (5pts). (a) On the grid below, graph the following piecewise defined function. f(I) = 3 - 2x T - 5 1 2 2 (b) Is the function f(r) continuous at r = 2? (Do not justify.) YES NO 5 0 -5 -5 0 5 Problem 5 (6pts). For what value of c (if any) is the function g(x) continuous at x = 3? Justify your answer. 8x - 4 I
Step by Step Solution
There are 3 Steps involved in it
Get step-by-step solutions from verified subject matter experts
