Question: Please answer all the questions and show all work. Circle final answer. Find the following definite integral: If / |.r II (II. As your answer,






Please answer all the questions and show all work. Circle final answer.






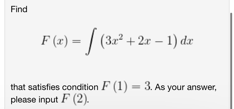
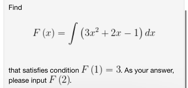
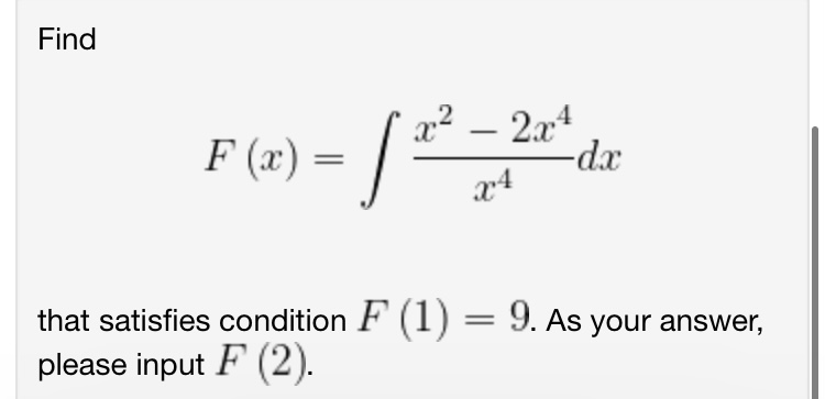
Find the following definite integral: If / |.r II (II. As your answer, please input the value of the integral. Let R / fix) in. - 1 As your answer, please input the value of the integral in decimal term with three significant digits after the decimal point. Find F (x) = 3x2 + 2x - 1) dx that satisfies condition (1) = 3. As your answer, please input FFind {'05 J' FM} = [Tdm . 5111" (I) that satisfies condition F (E) = 2. As your answer, please input F (g) in decimal form with three significant digits after the decimal point. Find 2.2 - 2x F (x) = dx 74 that satisfies condition = 9. As your answer, please input F (2).Find (Ix ~ .3_*-.r.2 ,_ PM): [-3.1 m l-Lz 1 pr that satisfies condition F ( l l = -;. As your answer, please input F (2) in decimal torn; with three significant digits after the decimal point
Step by Step Solution
There are 3 Steps involved in it
Get step-by-step solutions from verified subject matter experts
