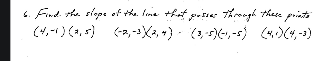
Question: Please answer all them I only have an hour, please I'm begging you 6. Find the slope of the line that passes through these points
Please answer all them I only have an hour, please I'm begging you

6. Find the slope of the line that passes through these points ( 4 , - 1 ) ( 2 , 5 ) ( - 2 , - 3 )
Step by Step Solution
There are 3 Steps involved in it
Get step-by-step solutions from verified subject matter experts
