Question: Please answer and explain each question. fstorm system is headed towards ustin. The Weather Service Oice forecasts that t hours after mid-day the storm will
Please answer and explain each question.





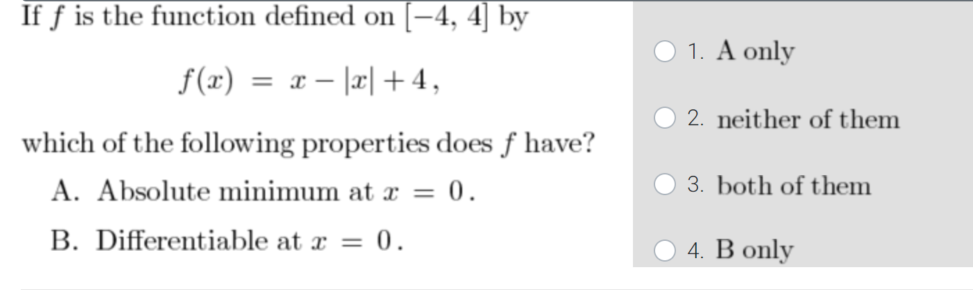
\fstorm system is headed towards ustin. The Weather Service Oice forecasts that t hours after mid-day the storm will be at a. distance of 8\") = 8 + 2t '2 miles from Austin. At what speed (in miles per hour) will the storm be moving when it reaches Austin? street light is on top of a 10 foot pole. Joe, who is 4 feet tall, walks away from the pole at a. rate of 6 feet per second. At what speed is the tip of Joe's shadow moving from the base of the pole when he is 15 feet from the pole? \fIf f is the function defined on [-4, 4) by O 1. A only f(x) = x - x +4, O 2. neither of them which of the following properties does f have? A. Absolute minimum at x = 0. O 3. both of them B. Differentiable at r = 0. O 4. B only
Step by Step Solution
There are 3 Steps involved in it
Get step-by-step solutions from verified subject matter experts
