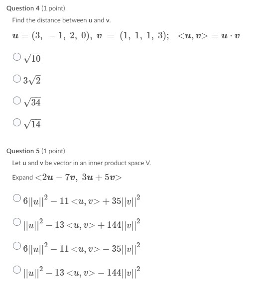
Question: Please answer and show work: Question 4 (1 point) Find the distance between u and v. u = (3, - 1, 2, 0), v =
Please answer and show work:

Step by Step Solution
There are 3 Steps involved in it
1 Expert Approved Answer
Step: 1 Unlock
Question Has Been Solved by an Expert!
Get step-by-step solutions from verified subject matter experts
Step: 2 Unlock
Step: 3 Unlock
