Question: please answer ASAP Tax Return Problem - Deductions Focus Chad Everhart, age 56, is a geologist living in Bozeman, MT. His address is 426 Ridgetop
please answer ASAP











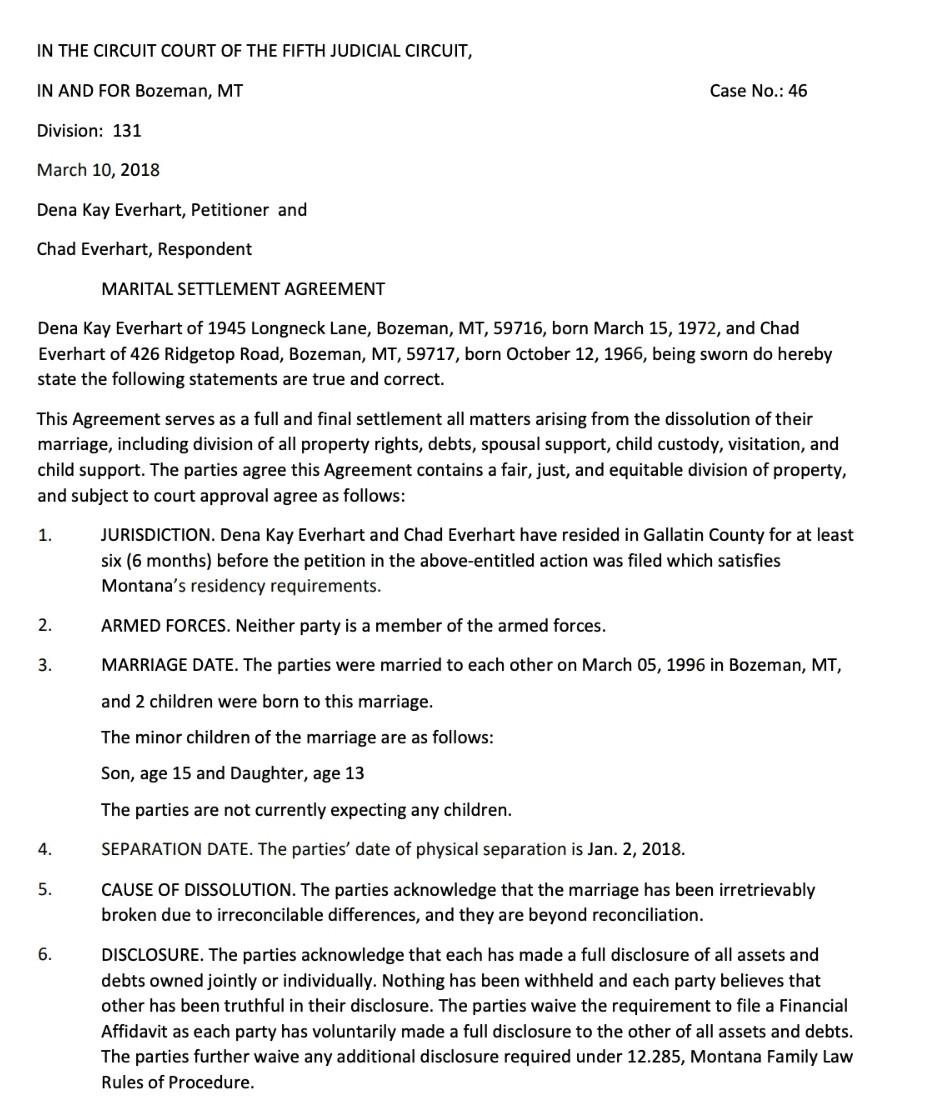
Tax Return Problem - Deductions Focus Chad Everhart, age 56, is a geologist living in Bozeman, MT. His address is 426 Ridgetop Road, Bozeman, MT, 59717. Chad's social security number is 123-45-6789, and he works as a geologist for the Roughstock Mining Co., also located in Bozeman. Chad received a 2022 form W-2 reporting his earnings and withholdings from his employer. Although Chad is currently single, he was formerly married to Dena Everhart, and together they have two teenage children. Chad \& Dena's divorce was finalized in 2018 (see exhibits for settlement agreement). In addition to his work as a geologist, in 2021, Chad and four of his business colleagues decided to form an oil and gas limited partnership. Chad invested $100,000 cash, along with a piece of equipment, for a 20% interest in the partnership. At the time of the investment, the property contributed had a fair market value of $50,000 and an adjusted basis of $20,000. The partnership has five owners, and Chad does not materially participate in the business, contributing about 200 hours per year to the operations. In 2021, the business had no recourse debt. The business had an operating loss of $10,000, resulting in a $2,000 passive loss for Chad. (See Chad's 2021 K-1 from Five-Guys from MT.) For 2022, the business had $40,000 in operating income. (See Chad's 2022K1 from Five-Guys from MT.) Chad incurred a net operating loss in 2021 of $13,450 which he is carrying forward to 2022. In addition, Chad has provided a list of medical expenses he's incurred for 2022 , a mortgage interest statement from Go Prime Mortgage, Inc., detailing the amount of interest paid in 2022, and a 2022 property tax bill from the Gallatin County Assessor's office for his home which he has paid (see exhibits). Included in his list of medical expenses is a stair lift installation that his doctor prescribed. The increase in the fair market value of the home due to the installation was $12,000. He also made charitable contributions to Fresh Life Church in Bozeman, for $6,500 and donated $5,000 to Black Dog Haven, a local, for-profit shelter, and gave $500 to a needy family in Bozeman. Chad has asked you to complete his tax return for the year 2022. Prepare Form 1040 page 1 and 2, Schedule 1, Schedule A, and Schedule E page 2. We use 2021 tax forms because 2022 tax forms are not available at the time of publication. 651] CORRECTED (if checked) GALLATIN COUNTY ASSESSOR'S OFFICE PROPERTY TAX BILL DUE JUNE 30, 2022 Location of Property: 427 Ridgetop Road, Gallatin County Bozeman, MT 59718 Owner of Record: Chad Everhart Estimated FMV: $715,725 Taxes Due: $12,040 IN THE CIRCUIT COURT OF THE FIFTH JUDICIAL CIRCUIT, IN AND FOR Bozeman, MT Case No.: 46 Division: 131 March 10, 2018 Dena Kay Everhart, Petitioner and Chad Everhart, Respondent MARITAL SETTLEMENT AGREEMENT Dena Kay Everhart of 1945 Longneck Lane, Bozeman, MT, 59716, born March 15, 1972, and Chad Everhart of 426 Ridgetop Road, Bozeman, MT, 59717, born October 12, 1966, being sworn do hereby state the following statements are true and correct. This Agreement serves as a full and final settlement all matters arising from the dissolution of their marriage, including division of all property rights, debts, spousal support, child custody, visitation, and child support. The parties agree this Agreement contains a fair, just, and equitable division of property, and subject to court approval agree as follows: 1. JURISDICTION. Dena Kay Everhart and Chad Everhart have resided in Gallatin County for at least six (6 months) before the petition in the above-entitled action was filed which satisfies Montana's residency requirements. 2. ARMED FORCES. Neither party is a member of the armed forces. 3. MARRIAGE DATE. The parties were married to each other on March 05, 1996 in Bozeman, MT, and 2 children were born to this marriage. The minor children of the marriage are as follows: Son, age 15 and Daughter, age 13 The parties are not currently expecting any children. 4. SEPARATION DATE. The parties' date of physical separation is Jan. 2, 2018. 5. CAUSE OF DISSOLUTION. The parties acknowledge that the marriage has been irretrievably broken due to irreconcilable differences, and they are beyond reconciliation. 6. DISCLOSURE. The parties acknowledge that each has made a full disclosure of all assets and debts owned jointly or individually. Nothing has been withheld and each party believes that other has been truthful in their disclosure. The parties waive the requirement to file a Financial Affidavit as each party has voluntarily made a full disclosure to the other of all assets and debts. The parties further waive any additional disclosure required under 12.285, Montana Family Law Rules of Procedure. 7. CUSTODY. The parties acknowledge that this is the home state of the child pursuant to the state's Uniform Child Custody Jurisdiction and Enforcement Act. The child has resided in this state for more than six months before this action began and no other court has made a child custody determination. 8. CHILD CUSTODY \& VISITATION. Custody of the children, is awarded to the mother. The parties acknowledge that issues of child custody or visitation relative to the parties' children have been determined by the Bozeman Judicial Court of Bozeman in the state of Montana under docket/case number 1276 . That court maintains continuing and exclusive jurisdiction over issues relating to the minor child of this marriage. A copy of all orders entered relative to custody or visitation is attached to this Agreement and shall be incorporated into any Judgment or Decree of Divorce subsequently entered. CHILD SUPPORT. The parties acknowledge that the issue of child support has been determined by the Bozeman Judicial Court of Bozeman in the state of Montana under docket/case number 12356 . Under this court order Chad Everhart is responsible for paying child support in the amount of $750.00 monthly. That court maintains continuing and exclusive jurisdiction over issues relating to the minor child of the marriage. A copy of all orders entered relative to child support is attached to this Agreement and shall be incorporated into any Judgment or Decree of Divorce subsequently entered. 10. COOPERATION. The parties agree to cooperate with one another in signing any papers or legal documents needed to finalize this Agreement or any provision contained in this Agreement, including deeds, title certificates, etc. Within 10 days of notification of Entry of Judgment, the parties shall execute any document, transfer papers, titles, or other documents to affect the provisions of this Agreement and any resulting Decree of Divorce. In the event a party fails to sign transfer documents, the final Decree of Divorce shall operate to transfer title. 11. DIVISION OF ASSETS. Each party shall receive any and all, tangible and intangible, property, in his/her possession including personal items and household goods unless otherwise stated in this Agreement. 12. FUTURE EARNINGS AND ACQUISITIONS. All income, earnings, or other property received or acquired by either party to this Agreement on or after the date of execution of this Agreement shall be the sole and separate property of the receiving or acquiring party. Each party, as of the effective dates of this Agreement, does hereby and forever waive, release, and relinquish all the right, title, and interest in all such income, earnings, and other property except as necessary to collect any sums due hereunder in the event of default. DEBTS. Each spouse will be responsible for any indebtedness incurred in his or her individual name prior to the date of marriage unless otherwise specifically stated in this Agreement. Each spouse will be responsible for any indebtedness incurred in his or her individual name subsequent to the date of separation March 10, 2018 unless otherwise specifically stated in this Agreement. Each spouse will be responsible for any indebtedness incurred in his or her individual name during the course of the marriage unless otherwise specifically stated in this Agreement. SPOUSAL SUPPORT/ALIMONY. Dena Kay Everhart, has been married for 22 years. Chad Everhart is 56 years of age. He has been a good provider and has the ability to pay spousal support. Chad Everhart agrees to pay Dena Kay Everhart spousal support in the amount of $400.00 per month until ex-spouse remarries or dies. 1. Jan. 5,2022 , morbid obesity diagnosis and underwent weight loss surgery $5,356 2. Feb 9,2022 , acupuncture treatments for low-back pain $2,375 3. March 27, 2022, stair-lift installation $16,500 4. April 5, 2022, follicular unit extraction (hair transplants) $4,300 5. Jan. 1, 2022 - Dec. 31, 2022 - various doctor visits for wellness checkups \$ 624 6. Jan. 1, 2022 - Dec. 31,2022 - over-the-counter drugs including sleep remedies and cold medications. 7. Jan 1, 2022 - Dec. 31, 2022 - doctor prescribed medications 8. July 7, 2022 - prescription sunglasses 9. Oct. 2, 2022 - auto seat replacement to relieve discomfort (not prescribed) $1,252 10. Dec. 2, 2022 - installed big-screen TV to relieve eye strain $733 651] 19 This information is being fumished to the Internal Revenue Service. Tax Return Problem - Deductions Focus Chad Everhart, age 56, is a geologist living in Bozeman, MT. His address is 426 Ridgetop Road, Bozeman, MT, 59717. Chad's social security number is 123-45-6789, and he works as a geologist for the Roughstock Mining Co., also located in Bozeman. Chad received a 2022 form W-2 reporting his earnings and withholdings from his employer. Although Chad is currently single, he was formerly married to Dena Everhart, and together they have two teenage children. Chad \& Dena's divorce was finalized in 2018 (see exhibits for settlement agreement). In addition to his work as a geologist, in 2021, Chad and four of his business colleagues decided to form an oil and gas limited partnership. Chad invested $100,000 cash, along with a piece of equipment, for a 20% interest in the partnership. At the time of the investment, the property contributed had a fair market value of $50,000 and an adjusted basis of $20,000. The partnership has five owners, and Chad does not materially participate in the business, contributing about 200 hours per year to the operations. In 2021, the business had no recourse debt. The business had an operating loss of $10,000, resulting in a $2,000 passive loss for Chad. (See Chad's 2021 K-1 from Five-Guys from MT.) For 2022, the business had $40,000 in operating income. (See Chad's 2022K1 from Five-Guys from MT.) Chad incurred a net operating loss in 2021 of $13,450 which he is carrying forward to 2022. In addition, Chad has provided a list of medical expenses he's incurred for 2022 , a mortgage interest statement from Go Prime Mortgage, Inc., detailing the amount of interest paid in 2022, and a 2022 property tax bill from the Gallatin County Assessor's office for his home which he has paid (see exhibits). Included in his list of medical expenses is a stair lift installation that his doctor prescribed. The increase in the fair market value of the home due to the installation was $12,000. He also made charitable contributions to Fresh Life Church in Bozeman, for $6,500 and donated $5,000 to Black Dog Haven, a local, for-profit shelter, and gave $500 to a needy family in Bozeman. Chad has asked you to complete his tax return for the year 2022. Prepare Form 1040 page 1 and 2, Schedule 1, Schedule A, and Schedule E page 2. We use 2021 tax forms because 2022 tax forms are not available at the time of publication. 651] CORRECTED (if checked) GALLATIN COUNTY ASSESSOR'S OFFICE PROPERTY TAX BILL DUE JUNE 30, 2022 Location of Property: 427 Ridgetop Road, Gallatin County Bozeman, MT 59718 Owner of Record: Chad Everhart Estimated FMV: $715,725 Taxes Due: $12,040 IN THE CIRCUIT COURT OF THE FIFTH JUDICIAL CIRCUIT, IN AND FOR Bozeman, MT Case No.: 46 Division: 131 March 10, 2018 Dena Kay Everhart, Petitioner and Chad Everhart, Respondent MARITAL SETTLEMENT AGREEMENT Dena Kay Everhart of 1945 Longneck Lane, Bozeman, MT, 59716, born March 15, 1972, and Chad Everhart of 426 Ridgetop Road, Bozeman, MT, 59717, born October 12, 1966, being sworn do hereby state the following statements are true and correct. This Agreement serves as a full and final settlement all matters arising from the dissolution of their marriage, including division of all property rights, debts, spousal support, child custody, visitation, and child support. The parties agree this Agreement contains a fair, just, and equitable division of property, and subject to court approval agree as follows: 1. JURISDICTION. Dena Kay Everhart and Chad Everhart have resided in Gallatin County for at least six (6 months) before the petition in the above-entitled action was filed which satisfies Montana's residency requirements. 2. ARMED FORCES. Neither party is a member of the armed forces. 3. MARRIAGE DATE. The parties were married to each other on March 05, 1996 in Bozeman, MT, and 2 children were born to this marriage. The minor children of the marriage are as follows: Son, age 15 and Daughter, age 13 The parties are not currently expecting any children. 4. SEPARATION DATE. The parties' date of physical separation is Jan. 2, 2018. 5. CAUSE OF DISSOLUTION. The parties acknowledge that the marriage has been irretrievably broken due to irreconcilable differences, and they are beyond reconciliation. 6. DISCLOSURE. The parties acknowledge that each has made a full disclosure of all assets and debts owned jointly or individually. Nothing has been withheld and each party believes that other has been truthful in their disclosure. The parties waive the requirement to file a Financial Affidavit as each party has voluntarily made a full disclosure to the other of all assets and debts. The parties further waive any additional disclosure required under 12.285, Montana Family Law Rules of Procedure. 7. CUSTODY. The parties acknowledge that this is the home state of the child pursuant to the state's Uniform Child Custody Jurisdiction and Enforcement Act. The child has resided in this state for more than six months before this action began and no other court has made a child custody determination. 8. CHILD CUSTODY \& VISITATION. Custody of the children, is awarded to the mother. The parties acknowledge that issues of child custody or visitation relative to the parties' children have been determined by the Bozeman Judicial Court of Bozeman in the state of Montana under docket/case number 1276 . That court maintains continuing and exclusive jurisdiction over issues relating to the minor child of this marriage. A copy of all orders entered relative to custody or visitation is attached to this Agreement and shall be incorporated into any Judgment or Decree of Divorce subsequently entered. CHILD SUPPORT. The parties acknowledge that the issue of child support has been determined by the Bozeman Judicial Court of Bozeman in the state of Montana under docket/case number 12356 . Under this court order Chad Everhart is responsible for paying child support in the amount of $750.00 monthly. That court maintains continuing and exclusive jurisdiction over issues relating to the minor child of the marriage. A copy of all orders entered relative to child support is attached to this Agreement and shall be incorporated into any Judgment or Decree of Divorce subsequently entered. 10. COOPERATION. The parties agree to cooperate with one another in signing any papers or legal documents needed to finalize this Agreement or any provision contained in this Agreement, including deeds, title certificates, etc. Within 10 days of notification of Entry of Judgment, the parties shall execute any document, transfer papers, titles, or other documents to affect the provisions of this Agreement and any resulting Decree of Divorce. In the event a party fails to sign transfer documents, the final Decree of Divorce shall operate to transfer title. 11. DIVISION OF ASSETS. Each party shall receive any and all, tangible and intangible, property, in his/her possession including personal items and household goods unless otherwise stated in this Agreement. 12. FUTURE EARNINGS AND ACQUISITIONS. All income, earnings, or other property received or acquired by either party to this Agreement on or after the date of execution of this Agreement shall be the sole and separate property of the receiving or acquiring party. Each party, as of the effective dates of this Agreement, does hereby and forever waive, release, and relinquish all the right, title, and interest in all such income, earnings, and other property except as necessary to collect any sums due hereunder in the event of default. DEBTS. Each spouse will be responsible for any indebtedness incurred in his or her individual name prior to the date of marriage unless otherwise specifically stated in this Agreement. Each spouse will be responsible for any indebtedness incurred in his or her individual name subsequent to the date of separation March 10, 2018 unless otherwise specifically stated in this Agreement. Each spouse will be responsible for any indebtedness incurred in his or her individual name during the course of the marriage unless otherwise specifically stated in this Agreement. SPOUSAL SUPPORT/ALIMONY. Dena Kay Everhart, has been married for 22 years. Chad Everhart is 56 years of age. He has been a good provider and has the ability to pay spousal support. Chad Everhart agrees to pay Dena Kay Everhart spousal support in the amount of $400.00 per month until ex-spouse remarries or dies. 1. Jan. 5,2022 , morbid obesity diagnosis and underwent weight loss surgery $5,356 2. Feb 9,2022 , acupuncture treatments for low-back pain $2,375 3. March 27, 2022, stair-lift installation $16,500 4. April 5, 2022, follicular unit extraction (hair transplants) $4,300 5. Jan. 1, 2022 - Dec. 31, 2022 - various doctor visits for wellness checkups \$ 624 6. Jan. 1, 2022 - Dec. 31,2022 - over-the-counter drugs including sleep remedies and cold medications. 7. Jan 1, 2022 - Dec. 31, 2022 - doctor prescribed medications 8. July 7, 2022 - prescription sunglasses 9. Oct. 2, 2022 - auto seat replacement to relieve discomfort (not prescribed) $1,252 10. Dec. 2, 2022 - installed big-screen TV to relieve eye strain $733 651] 19 This information is being fumished to the Internal Revenue Service
Step by Step Solution
There are 3 Steps involved in it
Get step-by-step solutions from verified subject matter experts
