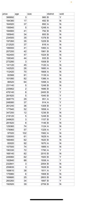
Question: please answer both questions Question 26 (1 point) Conduct a t-test of differences in mean size in district A and mean size in district B.

Question 26 (1 point) Conduct a t-test of differences in mean size in district A and mean size in district B. What is your conclusion? The population means are not equal. The difference in sample means is small enough to be due to chance sampling error. The population means are not equal. The difference in sample means is large enough to be due to something other than chance sampling error. The population means are equal. The difference in sample means is small enough to be due to chance sampling error. The population means are equal. The difference in sample means is large enough to be due to something other than chance sampling error. sold Y N N N N N N N N size 3 17 37 5 41 34 35 35 37 41 42 47 44 3 45 26 70 81 82 64 N N N N Y N N N N N N 5 ON price age 388892 184380 164920 156940 184660 185640 234500 197260 212520 189000 207200 162400 158340 273280 141120 142520 112420 83566 101080 86520 231140 235662 476140 28 1820 308770 248080 261240 177940 347200 218120 249620 281820 129360 179060 97020 126000 166460 83020 157500 190330 168140 249060 182840 232841 259835 169610 175980 169680 260260 192920 district 980 B 492 B 892 A 1248 A 792 B 800 B 1378 B 1229 B 816 A 1060 A 1981 B 1024 B 935 B 1008 B 1120 A 1680 A 1669 A 1139 A 1386 A 1098 A 1248 B 1686 B 2400 B 1040 B 951 A 914 A 1308 B 1858 A 1236 B 1248 B 1157 B 1146 B 1124 A 1329 A 1582 A 1629 A 1620 B 1670 A 1889 A 1790 A 2010 B 1920 B 1938 A 2054 B 1628 B 1811 A 1908 B 2603 B 1897 B 2759 B N Y Y Y Y Y Y Y N N Y N 2 8 5 29 37 36 52 12 5 3 8 74 57 102 61 62 92 74 72 82 62 88 3 3 38 6 25 34 39 N Y N N N N N Y N Y Y N N Y N N Y N
Step by Step Solution
There are 3 Steps involved in it
Get step-by-step solutions from verified subject matter experts
