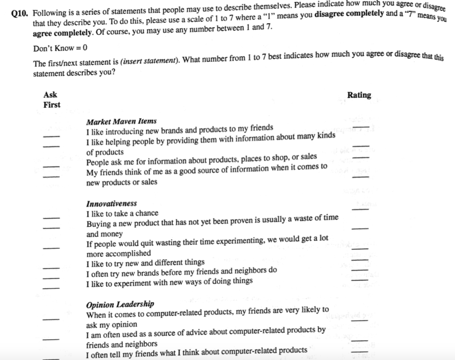
Question: please answer (c) based on question 10 Q10. Following is a series of statements that people may use to describe themselves. Please indicate how much

please answer (c) based on question 10
Step by Step Solution
There are 3 Steps involved in it
1 Expert Approved Answer
Step: 1 Unlock
Question Has Been Solved by an Expert!
Get step-by-step solutions from verified subject matter experts
Step: 2 Unlock
Step: 3 Unlock
