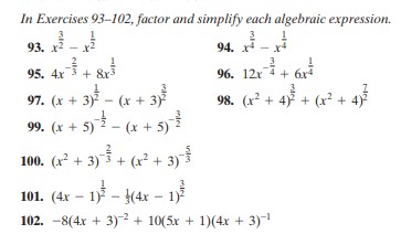
Question: Please answer Completly make it Simple and Precise and easy to follow Make sure to Put the number of the questions Kind regards Have a
Please answer Completly make it Simple and Precise and easy to follow Make sure to Put the number of the questions Kind regards Have a beautiful Day :)
Student ID:42042190




Step by Step Solution
There are 3 Steps involved in it
Get step-by-step solutions from verified subject matter experts
