Question: Please answer each question on a new spreadsheet and show all the formulas on the excel sheet. Thank you! ENTERPRISE INDUSTRIES Enterprise Industries produces Fresh,


Please answer each question on a new spreadsheet and show all the formulas on the excel sheet. Thank you!
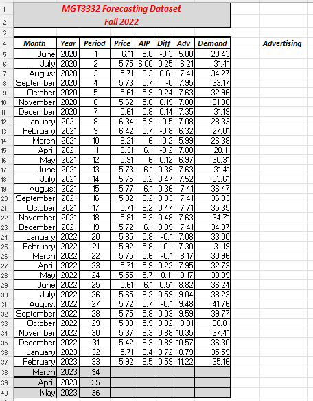
ENTERPRISE INDUSTRIES Enterprise Industries produces Fresh, a brand of liquid detergent. In order to more effectively manage its inventory, the company would like to better predict demand for Fresh. To develop a prediction model, the company has gathered data concerning demand for Fresh over the last 33 sales periods. Each sales period is defined as one month. The variables are as follows: Demand = Y = demand for a large size bottle of Fresh (in 100,000) Price = the price of Fresh as offered by Enterprise Industries AIP= the average industry price Adv = Ent. Industries Advertising Expenditure (in $100,000 ) to Promote Fresh in the sales period. Diff = AIP - Price = the "price difference" in the sales period a) Make time series scatter plots of all five variables (five separate graphs). Insert trend line, equation, and R-squared. Observe graphs and provide interpretation of results. b) Construct scatter plots of Demand vs. Diff, Demand vs. Adv, Demand vs. AIP, and Demand vs. Price. Insert fitted linear line, equation, and R-squared. Observe graphs and provide interpretation. Note that Demand is always on the Y axis. c) Obtain the correlation matrix for all six variables and list the variables that have strong correlation with Demand. High correlation is r>0.50. Explain your findings in plain language. d) Use 3-month and 6-month moving averages to predict the demand for March 2023. Find MAD for both forecasts and identify the preferred one based on each calculation. Is the moving average suitable method for forecasting for this data set? Explain your reasoning. e) Use Exponential smoothing forecasts with alpha of 0.1,0.2,,0.9 to predict March 2023 demand. Identify the value of alpha that results in the lowest MAD. f) Find the monthly seasonal indiees for the demand values using simple Average (SA) method. Find the deseasonalized demand values by dividing monthly demand by corresponding seasonal indices. g) Use regression to perform trend analysis on the de-seasonalized demand values. Is trend analysis suitable for this data? Find MAD and explain the Excel Regression output (trend equation, r, r-squared, goodness of model). h) Find the seasonally adjusted trend forecasts for March through May 2023. i) Perform simple linear regression analysis with ADV as the independent variable. Write the complete equation, find MAD and explain the Excel Regression output. Make sure to use the de-seasonalized demand data for this model and all future models. j) Repeat part (i) with Diff as the independent variable. k) Construct multiple linear regression model with Period, AIP, Diff, and Adv as independent variables. Formulate the equation, find MAD, and explain the output. Rank variables based on their degree of contribution to the model. Observe significant F, R-squared, and p-values and explain. 1) Perform multiple linear regression analysis with Period, Diff, and Adv as independent variables. Formulate the equation and find MAD. Which variable is the most significant predictor of demand? Rank the independent variables based on their degree of contribution to the model. Observe significant F, R-squared, and p-values and explain. m) Use the model in part (l) and make forecasts for the following months. Make sure to seasonalize final forecasts. n) Provide analytical conclusion for the case based on above analysis. ENTERPRISE INDUSTRIES Enterprise Industries produces Fresh, a brand of liquid detergent. In order to more effectively manage its inventory, the company would like to better predict demand for Fresh. To develop a prediction model, the company has gathered data concerning demand for Fresh over the last 33 sales periods. Each sales period is defined as one month. The variables are as follows: Demand = Y = demand for a large size bottle of Fresh (in 100,000) Price = the price of Fresh as offered by Enterprise Industries AIP= the average industry price Adv = Ent. Industries Advertising Expenditure (in $100,000 ) to Promote Fresh in the sales period. Diff = AIP - Price = the "price difference" in the sales period a) Make time series scatter plots of all five variables (five separate graphs). Insert trend line, equation, and R-squared. Observe graphs and provide interpretation of results. b) Construct scatter plots of Demand vs. Diff, Demand vs. Adv, Demand vs. AIP, and Demand vs. Price. Insert fitted linear line, equation, and R-squared. Observe graphs and provide interpretation. Note that Demand is always on the Y axis. c) Obtain the correlation matrix for all six variables and list the variables that have strong correlation with Demand. High correlation is r>0.50. Explain your findings in plain language. d) Use 3-month and 6-month moving averages to predict the demand for March 2023. Find MAD for both forecasts and identify the preferred one based on each calculation. Is the moving average suitable method for forecasting for this data set? Explain your reasoning. e) Use Exponential smoothing forecasts with alpha of 0.1,0.2,,0.9 to predict March 2023 demand. Identify the value of alpha that results in the lowest MAD. f) Find the monthly seasonal indiees for the demand values using simple Average (SA) method. Find the deseasonalized demand values by dividing monthly demand by corresponding seasonal indices. g) Use regression to perform trend analysis on the de-seasonalized demand values. Is trend analysis suitable for this data? Find MAD and explain the Excel Regression output (trend equation, r, r-squared, goodness of model). h) Find the seasonally adjusted trend forecasts for March through May 2023. i) Perform simple linear regression analysis with ADV as the independent variable. Write the complete equation, find MAD and explain the Excel Regression output. Make sure to use the de-seasonalized demand data for this model and all future models. j) Repeat part (i) with Diff as the independent variable. k) Construct multiple linear regression model with Period, AIP, Diff, and Adv as independent variables. Formulate the equation, find MAD, and explain the output. Rank variables based on their degree of contribution to the model. Observe significant F, R-squared, and p-values and explain. 1) Perform multiple linear regression analysis with Period, Diff, and Adv as independent variables. Formulate the equation and find MAD. Which variable is the most significant predictor of demand? Rank the independent variables based on their degree of contribution to the model. Observe significant F, R-squared, and p-values and explain. m) Use the model in part (l) and make forecasts for the following months. Make sure to seasonalize final forecasts. n) Provide analytical conclusion for the case based on above analysis
Step by Step Solution
There are 3 Steps involved in it
Get step-by-step solutions from verified subject matter experts
