Question: PLEASE ANSWER I NEED BY MIDNIGHT!! i made sure everything is readable, only 6 questions! pls answer so confused! 4:43 il LTE Done Coastal Music












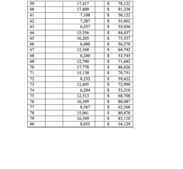
4:43 il LTE Done Coastal Music Park CVP 2 One day in early November, Pam Berg, Manager of the Coastal Credit Union Music Park, was reviewing the operating results for the year just completed in preparation for the executive board meeting the following Friday. While the year ended in the black, she was disappointed that the Coastal Credit Union Music Park failed to earn the budgeted profit goal This was the second year since Ms. Berg assumed the manager's position at the Coastal Credit Union Music Park. After the somewhat disappointing first year, she was determined to exceed the budgeted profit in the coming year. While not all events developed exactly as expected at the time of preparing the budget for the year, there were no major surprises during the year. Yet, the operating results are below the budgeted goal. In addition, Pam was frustrated by the lack of clear guidelines for contract negotiations with artists, for setting ticket prices, and in dealing with unexpected low ticket sales for certain concerts. THE Coastal Credit Union Music Park FOR LIVE ENTERTAINMENT The Coastal Credit Union Music Park in Raleigh, North Carolina is an outdoor amphitheater that provides live concerts to the public from April through October each year, hosting as many as half a million patrons a year. The seven-month season usually hosts an average of 40 concerts, and 12 year-round staffplan and manage each season. Live Nation Entertainment Inc. operates the pavilion. Live Nation is one of the largest diversified promoters, producers, and venue operators for live entertainment events the United States. It has 71 venues either directly owned or operated under lease or exclusive booking arrangements in 29 of the top 50 U.S. markets, including 14 amphitheaters or pavilions in 9 of the top 10 markets. Coastal Pavillon wants to be the nightlife for the Triangle (Raleigh-Durham-Chapel Hill, NC) and eastern North Carolina, and one of the most beautiful, technologically advanced, and successful amphitheaters in the world. It features the most modern state-of-the-art acoustics and video of any facility of its kind. In the last few years, Coastal Credit Union Music Park staged shows by the Dave Matthews Band, Alan Jackson, Brooks & Dunn, Toby Keith, Santana, Tim McGraw, Aerosmith, James Taylor, Jimmy Buffett, and many other national regional, and local artists. The Pavilion claims. "There isn't a bad seat in the house. Whether you choose to spread a blanket on our gently sloping festival lawn or select a reserved seat in our pavilion seating area. you are guaranteed a great view of the action on the stage" (Coastal Credion Music Pack website ention of the Euthibito 4:44 LTE Done Coastal Music Park CVP 2 stage" (Coastal Credit Union Music Park website) Exhibit 1 shows the stage and seating of the amphitheater. History/Development The city of Raleigh and Pace Entertainment Company of Houston, Texas jointly built the Coastal Credit Union Music Park in 1991, Pace Entertainment and Cellar Door Inc. of Raleigh, NC had the initial contract to manage the Pavilion. Hardee's Food Systems, Inc. of Rocky Mount, NC, the original sponsor of the amphitheater, paid an annual fee to carry its name and logo on all signs and ads regarding the amphitheater. On February 3, 1999 Coastal Corp (http://tel.com) became the title sponsor for the amphitheater The demand for the outdoor facility came about because the rapidly growing city of Raleigh lacked a major entertainment complex. In the late 1980s Pace Entertainment and the city of Raleigh came to an agreement to build the facility. The city of Raleigh would own the land while Pace Entertainment would own the facility and assume sole operations of the facility; Cellar Door would do the booking for all the concerts. Pace Entertainment would pay income taxes on earnings from the use of the facility In 2008, Live Nation Entertainment Inc. acquired Pace Entertainment Inc. The amphitheater facility and its employees became part of Live Nation Entertainment Inc. Also, in 2009 Live Nation Entertainment Inc. acquired Cellar Door Inc. and merged with Clear Channel Communications Inc., one of the largest owners of radio stations in the country. This move brought together both worlds of the entertainment business. While the company has diverse holdings the philosophy of Live Nation is "One Company, One Mission." Many companies that are now owned by Live Nation were at one time bitter rivals in the concertpromoting business. These companies now maintain good working relationships within Live Nation. A key goal for Live Nation is for the net operating income of each of its holdings, including the Coastal Credit Union Music Park, to grow 5 percent each year The Pavilion competes with the RBC Center (http://www.rbocenter.com) at North Carolina State University in Raleigh (NCSU), the Dean Smith Activities Center (http://tarheelblue,ocan.com/genrel 092301aad.html) at The University of North Carolina in Chapel Hill, NC (UNC), and the Verizon Wireless Amphitheater in Charlotte, NC (http://www.verizonwirelessamphitheater.com/charlott e/), among others. In contrast to the facilities at NCSU and UNC tharomerom mors, le Pavilion 4:44 allHE Done Coastal Music Park CVP 2 Tamp (http://www.verizonwirelessamphitheater.com/charlott el), among others. In contrast to the facilities at NCSU and UNC that offer only indoor events, the Pavilion offers outdoor as well as sheltered seating for its events Marketing, Operations, and Accounting When the marketing department plans a promotion for an upcoming event, it coordinates with the sales department to see if there is a conflict in sponsorship. Marketing also coordinates with the operations department to effectively manage the activities on show days. Finally, the budget of each department (sales, marketing, and operations) is reviewed by the accounting department, which provides overall financial management of the project. Bringing Concerts to Reality A concert becomes reality in many steps. First, a group or performer with an interest in performing at Coastal will discuss with Cellar Door, Inc. and the Pavilion the possibility of performing at the Pavilion, and look at the open dates. Upon reaching an agreement, Cellar Door, on behalf of the Pavillon, signs a contract with the booking agent for the performer. A time is specified for gate openings, and once the gate is opened the show is underway. The job of the staff during a concert is to make sure every customer of the Coastal Credit Union Music Park has a pleasant experience and that the mission of the company is clearly seen by everyone that "a concert ... It's better live. Clean Sweep inc. of Raleigh handies the cleanup after a show. Key Business issues Marketing has an important role in the success of the Coastal Credit Union Music Park, but marketing expenditures are carefully watched. For every show the marketing budget is limited to $25,000. For many shows it is difficult to stay within the budget, since the Pavilion serves a five-market region consisting of Raleigh-Durham, Fayetteville, Wilmington, Greensboro, and the Carolina Coast. Most of the marketing budget is spent on advertising with radio, TV, and social media in the designated regions. Prior to developing advertising plans, the marketing staff analyzes ticket sales geographically over the five- market region. It is important to know the demographics of the five regions and compare them with the profile for each performer. The more Coastal Credit Union Music Park can know about the fans, the more they know where to spend the $25,000 Live Nation develops measures of performance and profitability for my region. This 4:44 LTE Done Coastal Music Park CVP 2 Live Nation develops measures of performance and profitability for each advertising media, by region. This type of analysis is important to the Coastal Credit Union Music Park because increased ticket sales, through effective advertising, not only affect ticket revenues, but also revenues from parking merchandise, and concessions. It is also important because of the increased cost of advertising. The advertising rates in the Raleigh-Durham region are comparable to the rates in Washington, D.C. The rates are up 50 percent over the last five years, while the budgets per show are only up 15 percent over this time. The cost of the performing artist has also increased dramatically. The average fee for an artist is approximately $260,000. Some artists are paid on a fixed-fee basis, while others are paid on a per capita basis. Generally, the most popular artists seek a per capita contract because they are confident of a high level of attendance. In contrast, the artist paid a foxed- fee is guaranteed the same fee whether 100 or 20,000 people attend the capacity of the Pavilion is approximately 20,000 attendance). On average, the total number of paid tickets per fixed-fee concert is 8,000 The role of marketing and advertising is especially important for fixed-fee shows. One method the Pavilion uses in addition to advertising is to distribute "comp" tickets (comp tickets are free tickets distributed throughout the community) to build interest in the Pavilion that will later be realized in paying customers. Comp customers also bring in revenue for parking, concessions, and merchandise sales. In a fixed-fee concert, the number of comp tickets is approximately 25 percent of the number of paying tickets, while a per capita show has no more than 25 percent Because of the increasing cost of the performing artists, Coastal Credit Union Music Park tries to reduce nonartist costs. Nonartist costs at Coastal Credit Union Music Park include expenses for sales. marketing, parking, security, concessions, and merchandise. Since assuming the manager position Pam has developed several avenues to reduce nonartist costs and/or increase revenues and profits including reducing expenses, having the parking service pass out flyers for upcoming events, trading "comp" tickets for online spots in the radio industry. and giving local businesses tickets in exchange for advertising on their premises. Revenues, Costs, and Flash Report for the KFBS Allstars Concert Exhibit 2 is a MOCK Tas reporter amostrative fixed- 4:44 LTE Done Coastal Music Park CVP 2 Exhibit 2 is a mock flash report for an illustrative fixed- fee show, the KFBS Allstars. A flash report is a projection of costs and revenues for a scheduled concert. The guarantee/talent cost ($260,635) is the amount the KFBS Allstars are guaranteed for the show. Projected sales is the number of projected paying ticket holders, while the "drop count is total attendance, including both paid and comp tickets. Setting ticket price is often done together with the performer, taking into consideration Live Nation's national and regional pricing policies, prices of comparable venues, and the Pavilion's desired profit for the concert. Pam uses the flash report to plan potential concerts and to evaluate the success of concerts already presented. The report shows the variety of revenues and costs for a concert, and the projected profit for the concert The flash report projects total revenues including ticket sales, parking, food, and merchandise based on per capita (drop count) rates. Ticket sales are in four ticket categories: A seats and B seats are regular price tickets for the reserved and lawn seating sections respectively, C and D seats are promotional (discount) price tickets for reserved and lawn seating. respectively. Other revenues include per capita facility charges paid by the sponsoring corporation for naming rights (based on paid ticket holders) and a per capita service charge paid by the performer for food, transportation, and other services. Not included are the annual lease payments for VIP seats at $10,000 per year. Patrons to the VIP seats also have to pay the ticket price of A-level seats. Reserved and lawn seating areas are shown in Exhibit 1. The parking, food concession, and merchandise operations are outsourced to other service providers. so the direct costs for parking, merchandise and concessions are determined based on contracts with the service providers that include both a percentage (10 percent) of applicable revenues and a fixed fee. Operating expenses include an allocation of the total of fixed production and operations costs for the season, the advertising expenses for the KFBS Allstars event, and other variable expenses. These are then added to the direct costs for concessions, merchandise, parking, and insurance to determine total operating expenses REQUIRED 1. How would you describe the competitive strategy of the Coastal Credit Union Music Park? Given the firm's strategy, what are the critical success factors for the Pavilion to achieve its goal of continuous annual growth in operating income? 2. Complete two selected cost volume-profit analysis 4:44 LTE Done Coastal Music Park CVP 2 1. How would you describe the competitive strategy of the Coastal Credit Union Music Park? Given the firm's strategy, what are the critical success factors for the Pavilion to achieve its goal of continuous annual growth in operating income? 2. Complete two selected cost-volume-profit analyses for the show illustrated in Exhibit 2, the KFBS Allstars (Think of there being two products - Regular Tickets and Comp Tickets): a) How many tickets must the Coastal Credit Union Music Park sell to break even for KFBS? b) How many tickets must Coastal sell to eam $30,000 operating income after taxes, assuming a 20 percent tax rate? 3. What should be the average ticket price for the KFBS concert if the fixed-pay fee is $300,000 and the Music Park expects to sell 7.000 tickets and wants to earn $30,000 after 20 percent in taxes? 4. Negotiating the fee for the KFBS Allstars: fixed-pay or per capita contracts: a) What is the maximum fixed fee that the Pavilion can pay the KFBS Allstars if the Pavilion wants to earn $45,000 after 20 percent tax and expects the show to have an average ticket price of $36.297 Assume the show is expected to draw 7.000 paying ticket holders. b) What is the maximum fixed fee that the Pavilion can pay the KFBS Allstars if the Pavilion wants to earn $45,000 after 20 percent tax and expects the show to have an average ticket price of $36.297 Assume, including 25 percent comp tickets the show is expected to be a sell-out c) Independent of (a) and (b). what is the maximum per capita fee that the Pavilion can pay the KFBS Allstars, whose concert is expected to be a Sellout, if the Pavilion wants to earn $ 180,000 after 20 percent tax from an average ticket price of 533 per ticket? (zero comp tickets can be assumed) 5. Examining the Concessions contract - see exhibit 3 where costs for concessions for all events in 2020 were reported along with the attendance at each of the events. a) Using regression estimate the cost equation for concessions for 2020 b) Compare the results of variable and fixed costs as indicated in your equation with the contract for concessions in Exhibit 2 c Male aren 4:44 il LTE Done Coastal Music Park CVP 2 QUOTI CONCESSIONISTI ZUZU b) Compare the results of variable and fixed costs as indicated in your equation with the contract for concessions in Exhibit 2. c) Make a recommendation as to whether Coastal should handle concessions in house (results for 2020) or outsource to the provider in the contract shown in Exhibit 2. 6. Problems with the parking - in 2022 Coastal finds out that its parking lot needs extensive repairs. It can be done in sections so that only one quarter will be unusable at a time but must find a solution for for additional parking for big concerts. They find two possibilities - one is close by so that event goers can walk to the venue easily - this can be rented for $2,000 for each event needed but one month notice must be given to rent it. A second option is further away and is only available to rent for the entire year for $15,000. This location would require the operating of transportation between the site and the venue when used for events. A local transportation company is willing to provide shuttle service to and from the venue for $400 per event. a) Analyze the costs and profitability between the two parking options if Coastal continues to charge for parking consistent with Exhibit 2. You will need to make some assumptions so make those clear. b) How would your analysis change if you could rent out spots in the further parking lot for hourly parking when it is not being used for events? Explain what information you would need and how you would apply c) Besides your estimated costs, what other considerations might you use in making this decision? PIECE 4:44 il LTE Coastal Music Park CVP 2 Done 2 Push Report to the KFS Allian Cancut Te Math Podle AS 2945 CS ES Scute Ascate RS $ DS Prev AT 5 God Talent Com Allende Cew Per facility charpe Pernice 5 10 Pero 41 A Reveste de including Park 9:00 Merchandise 4,00 Ancillary Pakie 17.000.00 Concem 40,000 Merchandises 22.000 Perde Product 5 5 Ah 20.000 25 0.100 Other Variable Casts including E Eve Ameline Cont 1 7.30 $ 45 2 13.333 457 17.11. 4 13.32 6,13 11.15 7 19.2805 4 te 13 12 01.09 12.03 412550917 10335 13.594 566.770 11:43 2,119 14 25 16 13 18 19 3e 51, 5 S, 1440 13.11 4:44 il LTE Done Coastal Music Park CVP 2 > 22 ITS 24 25 > 22 14.3460 13.8215 ANO 7,540 5 10 17.01 17,019 $ 11.955 * 11 15.129 5 13 S 12.05 10.1973 . 30 TE 19 C EE 34 S6 16.00 0.00 13.2951 20:28 2,714534 9,1715 032 17.366.845 ME 31.03 1615 29 36 31 31 40 41 41 44 45 46 47 se 52 53 14 35 INS 7734 14.011 14 30 11,414 101 1180 11372873 11,528 1.1 7415 15.56 10, 2415 1,26555.757 XMS KASS 10.14 425 942 10.504 563 2.3165 ST 14215 ME 17,417 5 7.132 91 7.10 3373 55.00 5575 550M 15.556 34,437 16.30517397 6,480 5.17 12.4.2 13.70 3750 17. 151185 0432 12.05 57 55 50 SB EV 4 63 69 6 SICS 12 73 SCH DIES 14 75 73 74 12.17 16.900 2.575 15.001 1955 1555 54,129 011 Parking Concessions Merchandise $ $ $ $ ||| 6.00 9.00 4.00 19.00 $ 0.60 Per attendee Ancillary Contract Terms Parking S per 17,000.00 event Concession $ per 40,000.00 event Merchandises per 22,000.00 event $ 2.70 Per attendee $ 0.80 Per attendee Fixed Cost per Event Production Operations Advertising Total A A A $ $ $ $ 24,000 21,600 25,000 70,600 Other Variable Costs including Insurance and supplies $3.00 Per attendee Event 1 2 3 4 5 6 7 Exhibit 3 Attendance 7,240 13,323 17,126 13,268 6,132 15,608 17,280 Cost $ $ $ $ 58,475 79,457 80,898 72,912 54,080 75,544 77,808 $55 $ $ ited States) 7 8 9 10 || 123156 17,280 11,883 7,878 13,048 6,125 10,525 13,594 8,771 11,485 7,119 9,002 $ * $ $ $ $ $ $ 77,808 70,153 61,529 62,310 50,917 68,818 66,779 56,489 62,002 60,096 57,992 14 ||| 17 $ $ $ 18 19 20 21 22 23 24 25 26 27 9,196 14,246 13,921 7,940 13,662 17,019 11,593 9,898 11,862 15 729 $ $ 55,506 76,828 79,639 63,089 73,075 74,361 66,108 61,427 61,681 83 141 $ $ 28 29 30 31 32 33 34 35 36 37 38 39 40 41 42 43 44 45 46 47 48 49 50 51 52 53 54 55 56 57 58 12,038 13,053 10,157 9,798 16,007 13,895 9,714 9,171 17,366 6,064 16, 121 6,434 8,393 16,255 14,031 9,586 11,475 14,213 11,816 11,528 7,448 15,536 10,964 8,768 8,886 8,855 16,148 7,432 10,504 9,316 14,221 S $ $ $ S S S S S $ S $ $ S S S $ 65,542 71,967 62,296 61,689 82,588 80,288 60,724 60,652 78,845 53,922 79,922 51,503 59,659 77,314 81,422 62,047 61,963 71,780 72,673 62,123 63,283 74,806 72,415 55,757 59,360 61,386 74,258 58,470 63,619 57,829 76,648 $ $ S S S S S S $ S $ $ $ tes) 59 60 61 62 63 64 65 66 67 68 69 70 71 72 17,417 17,609 7,108 7,287 6,557 15,556 16,205 6,480 12,368 6,200 12,790 17,778 15,138 8,232 12,695 6,204 12,513 16,399 8,567 15,061 16,549 8,055 | 455 ES | Es | s-ESS |ts-4949 |es -es-ES-ES15 $ $ $ $ $ $ $ $ $ $ $ $ $ $ $ $ $ $ $ $ $ $ 78,122 91,338 50,122 55,802 55,036 84,437 75,557 56,378 64,742 53,745 71,682 88,626 70,751 59,622 72,990 53,210 68,708 80,087 62,368 80,878 85,110 54,129 73 75 76 77 78 79 80 + Exhibit 2 Flash Report for the KFBS Allstars Concert 7 07/31/22 Event Month Event Date Projected Sales A Seats B Seats C Seats D Seats Total Ticket Price A Seats B Seats C Seats D Seats 2,978 2,945 1,856 881 8,660 $ S $ $ 58.00 35.00 16.00 10.00 Projected Revenue Average Ticket Price $ 314,305.00 S 36.29 Guaranteed Talent Cost $ 260,635.00 10,825 Attendance (includes Comp) Other Ticket Revenue Per ticket facility charge Per ticket service charge $ $ 3.50 2.00 Projected Revenue from ticketing Per sold ticket $361,935.00 $ 41.79 Ancillary Revenues (per all attendees including comps) ates)
Step by Step Solution
There are 3 Steps involved in it
Get step-by-step solutions from verified subject matter experts
