Question: Please answer question 4 above, see the below for background info. 1. For Scenario 1, what is the average time in line (minutes) for a

Please answer question 4 above, see the below for background info.
1. For Scenario 1, what is the average time in line (minutes) for a customer? How about the
average time (minutes) spent in the system? (answer is equal to 20 min).
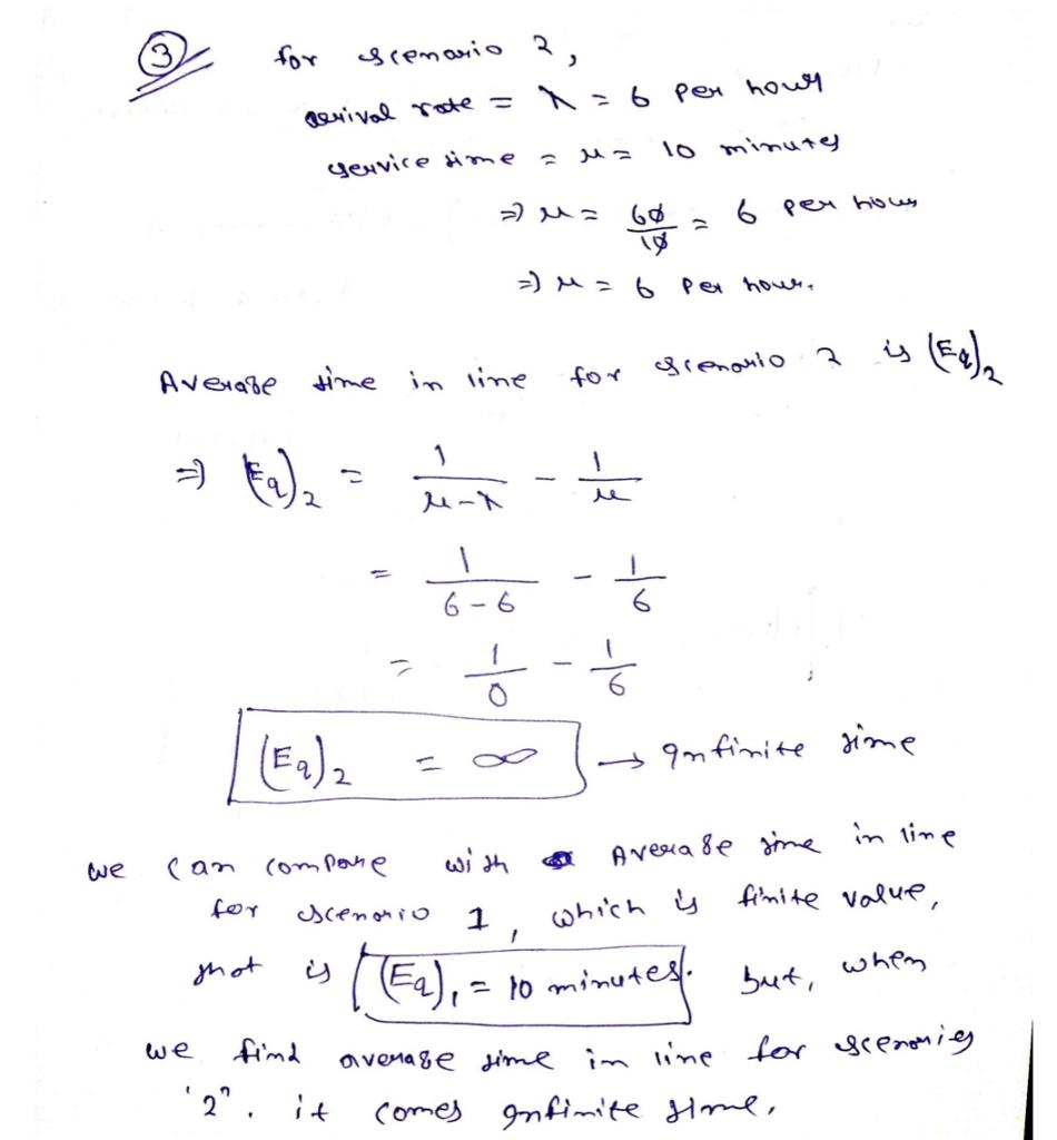
Question 3. info for reference: Calculate the time in line in minutes for Scenario 2. Then compare that value with the answer for Question 1 see below:
1. For Scenario 1, what is the average time in line (minutes) for a customer? How about the
average time (minutes) spent in the system? (answer is equal to 20 min).
Question 3 ans:

1 Staffing with the M/M/s Queue McNeese is determining the staffing level for their credit union located within the university, and has recently hired two tellers (servers). The beginning of the fall semester is their busiest time, with incoming freshmen and transfer students opening accounts. On average, it takes a teller E(T) = 10 minutes to successfully open an account and the average arrival rate has been = 6 per hour. As always, we use the exponential distribution as a reasonable approximation for both the interarrival and service times. After meeting with McNeese's upper-administration, the manager of the credit union is considering two possible scenarios for the service layout: Scenario 1: two M/M/1 (dedicated) queues that each serve 1/2 arrivals Scenario 2: one M/M/2 (pooled) queue that serves all arrivals A queuing analysis was conducted on each scenario, and the results are as follows: Scenario 1 Scenario 2 p=0.50 p=0.50 Utilization factor Mean number in the queue E[L] = 0.50 customers E [Lq) = 0.37 customers 4. The credit union is now considering adding a third teller (in the form of an M/M/3) with the goal of solving the following argument: arg min $15s + $11E [L] se{2,3} Recall the term arg min or argument of the minima gives the solution s such that the function f(s) = $15s + $115 [Lq) attains its minimum value. What is the optimal number of tellers to staff, s*?|| ) for Slemanio , denival rate = n = 6 per hour gervice time = ma 10 minutes 6 per hows 60 14 = M = 6 per hour. is (Ed) hienonio Average time in line for 1 ! = a)2 1 6-6 - - Eq)2 8 Infinite sime we can compare with a Avera de sine in line for Scenorio 1 which is finite value, shot is = 10 minutes but, when we find 2. it averare time in line for scemonies comes Infinite Home