Question: please answer the below question what about now Read the Article and criticize it using the below requirements. 1- Research Design Soundness, Methodological Soundness and
please answer the below question









what about now
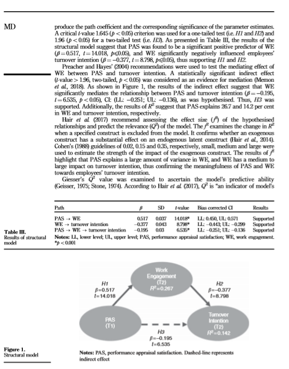
Read the Article and criticize it using the below requirements. 1- Research Design Soundness, Methodological Soundness and Method Soundness 2- Analysis Questions and Answers . Is the study replicable? . Are the appropriate analytical techniques applied to the data collected? . Are the conclusions and/or implications correctly derived from the research finding? . Are the results correctly interpreted? . Subjects: Is the description of participants adequate? Is the method of selection clear? . Is the research design (sample, procedure, measures etc.) appropriate for the problem studied? . Materials: Is there any description of tests, questionnaires, etc.? Is there any description of any equipment (when applicable)? . Analysis: Is there any description of the arrangement and grouping of the data? Are the statistical data listed in order of use? 3- Alternative Methodology Introduction Performance appraisal is one of the most essential dimensions of an organisational performance management system to achieve employee and organisational outcomes (Goulara el al, 2017, Ismail and Gali, 2016). Particularly, employees satisfaction with a performance appraisal system is vital to achieve numerous attitudinal and behavioural outcomes such as employees'intrinsic motivation (Aly and El Shanawany, 2016, Nesbit and Wood, 2002, creative behaviour and career development (Ismail and Rishani 2018, commitment and loyalty Salou et al, 2014) and low tumover intention (Ahmad et al, 2010, Kuvaas, 2006). Conversely, employee dissatisfaction with performance appraisal creates negative attitudes and perceptions, resulting in failure of the organisational performance appraisal system and negative workplace outcomes (Cardy and Dobbins, 1991; Ismail and Gali, 2016). Thus, employees' satisfaction with performance appraisal is vital to get the most out of talented resources Although research has established the critical importance of performance appraisal in achieving positive attitudinal and behavioural outcomes, several research questions remain unanswered. Little is known about whether performance appraisal satisfaction (PAS) affects employees' turnover intentions. Also, past research has most often investigated a direct linear relationship between performance appraisal and various outcomes (Ahmad el al, 2010; Aly and El Shanawany, 2016, Jawahar, 2006). However, to date, only a few studies have investigated the role of mediating mechanisms through which performance appraisal affects outcome constructs. This study addresses this research gap. The objective of this paper is to examine the causal relationship between PAS, work engagement (WE) and turnover intention, and the mediating role of WE between PAS and turnover intention. In achieving the research objectives, the paper contributes to the existing body of literature in several ways. Firstly, the key contribution of the paper is to enhance our understanding of the role of PAS in achieving proximal performance outcomes (.e. low turnover intention), Human resource management researchers believe that studies that explore the significance of PAS are rather limited (Boswell and Boudreau, 2000: Ismail and Gali, 2016). As such, this research is important because it provides empirical evidence for the significance of PAS in achieving positive attitudinal and behavioural outcomes, specifically low turnover intention. Secondly, investigating the role of WE as a mediator between PAS and turnover intention is another unique contribution of this paper. Schaufeli et al. (2002) defined WE as a positive fulfilling work-related state of mind characterized by vigour, dedication and absorption" (p. 702). According to Bakker and Albrecht (2018). "individuals who are engaged in their work have high levels of energy, are enthusiastic about their work, and are completely immersed in their work activities (p. 4). The WE construct has been the centre of attention among HIRM scholars (Albrecht et al, 2015) because of its ability of enhancing both individual well-being and organisational performance (Truss et al., 2014). WE has been shown to coincide with high levels of creativity, task performance, organisational citizenship behaviour and client satisfaction (Bakker and Albrecht, 2018 Bakker et al, 2010). Researchers in HRM and organisational behaviour suggest investigating the mediating role of WE-how engagement can help in explaining the connection between HRM practices and outcome variables (Albrecht et al, 2015; Truss d al, 2013) Notwithstanding, past studies tend to explore the direct relationship between performance appraisal and outcomes (Ahmad et al, 2010, Aly and El Shanawany, 2016, Jawahar, 2006, Salau et al, 2014). Discussion about the mechanism that transmits the impact of PAS on outcome constructs is rather limited. Notably, little is known about the mediating role of WE with regard to PAS and turnover intention. This study addresses this research gap. By convention, losing highly skilled employees can negatively affect an organisation's competitive advantage because the loss can lower the morale of other employees as well as reduce productivity and quality (Fazio et al, 2017, Holtom and Burch, 2016). Thus, the findings of this paper may have valuable implications for both academies and practitioners to understand the significance of PAS and WE in retaining top talent Drawing on social exchange theory, the hypothetical links between PAS, WE and turnover intention are discussed in the subsequent section. It then provides a brief discussion on the methods and data analysis process. The last section discusses the findings of the study and concludes by discussing implications and limitations of the study. Performani apprais satisfactic Theoretical background and hypothesis development Social exchange theory Social exchanges are voluntary actions that are performed by one party leg an organisation) for the other party (eg, employees) on the assumption that such acts will be returned in kind (Blau, 1964). Aryee et al (2002) argue that social exchange is premised on a long term exchange of favours that precludes accounting and is based on a diffuse obligation to reciprocate" (p. 267). Social exchange theorists suggest that in a reciprocal relationship, employees are encouraged to uphold a balanced relationship with their organisation. Put simply, SET posits that one's actions depend upon the reactions of others, though a significant effort is required to achieve the rewarding outcome. In an organisational context, exchange relationships become fruitful when an organisation effectively manages its human resources, cares about employee well-being and cultivates perception of fairness and justice (Eisenberger et al, 1990). Therefore, employees feel morally or ethically compelled to reciprocate then their organisation acts as a responsible employer (Cheung et al., 2018). To illustrate, a responsible employer acts to make their employees believe that they are valued, thus prompting them to reciprocate through positive attitudinal and behavioural outcomes (Aryee et al, 2002, Cheung et al, 2018; Gould-Williams and Davies, 2005). Drawing on these arguments, employees' positive perceptions of a fair and transparent performance evaluation increase their level of WE, which in turn reduces their intentions to quit. e the rewarding cate effective s and justo Performance appraisal satisfaction and work engagement PAS is primarily concerned with how an employee reacts to a performance appraisal (Ismail and Gali, 2016). It measures employees general satisfaction with the organisational performance appraisal system and refers to the degree to which the individuals (employees) perceive that performance ratings reflect behaviours that add value to the organisation (Giles and Mossholder, 1990). A well-executed performance appraisal system encourages strong performers to maintain their level of performance and motivates poor performers to improve, eventually ensuring organisational sustainability and success (Mani, 2002). Notably, employees' perceptions of faimess are key to a performance appraisal to increase employees satisfaction with the appraisal system (ruman and Saks, 2011). An environment of trust between individuals and their organisation, where individuals believe that they will be treated fairly during appraisal evaluation, creates positive feelings about the organisation (Saratun, 2016 Singh and Singh, 2018). In other words, perceptions of faimess are imperative to achieve employee satisfaction with performance appraisal and thus engagement. Ismail and Rishani (2018) suggest that organisations capable of building performance appraisal systems which employees consider to be satisfying harvest many vital employee outcomes at the workplace" (p. 111). Unsurprisingly, previous studies have reported that employees positive perceptions regarding performance evaluation significantly influence their attitudes and behaviours (Choi et al., 2013, Colquitte al, 2001). Gruman and Saks (2011) argued that for the purpose of enhancing engagement, trust and justice perceptions are especially important during the performance appraisal (p. 131). In his seminal work of a multidimensional model of engagement, Saks (2006) found that procedural justice enhanced employees' level of engagement. Attridge (2009) noted that employees who receive annual formal performance appraisals have significantly higher engagement levels than those who have not" (p. 387). MD SET suggests that employee employer relationships revolve around the principles of reciprocity (Blau, 1964; Saks, 2006). Therefore, it is expected that employees' experience of a fair, unbiased and mutually beneficial appraisal creates a positive perception of fair treatment by their employer. As a result, employees feel obligations and attempt to repay them, which can be defined as a norm of reciprocity, a core element of SET. One way to repay is to show a high level of engagement in their role performance. Hence, it is expected that employees' positive perceptions of the performance appraisal system motivate them to be highly engaged. Gupta and Kumar (2012) note that employees tend to exhibit higher levels of engagement at work when necessary information is communicated to them during the performance appraisal process. West and Dawson (2012) found that performance appraisal is a key factor in predicting employee engagement. Thus, it is hypothesised: HI. PAS has a positive impact on WE. Work engagement and turnover intention Empirical evidence suggests that WE is a strong predictor of employee turnover intention (Saks, 2006; Wan et al, 2018). Individuals with a high level of engagement at work build a high-quality and trusting relationship with their employer. As such, they tend to exhibit more positive attitudes, behaviours and intentions towards the organisation (Ajayi et al, 2017; Saks, 2006). Moreover, engaged employees tend to be "more satisfied with their jobs, feel more committed to the organisation and do not intend to leave the organisation" (Schaufeli and Salanova, 2008, p. 388). In their empirical work, Schaufeli and Bakker (2004) revealed that WE was negatively related to turnover intention. In a recent study, Wan el al (2018) note a significant negative relationship between WE and turnover intentions among experienced nurses in Beijing. Other studies have also found that WE minimises employee intentions to leave (Juhdi et al., 2013, Saks, 2006). Therefore, it is hypothesised that: H2. WE has a negative impact on turnover intention. Work engagement as a mediator Saks (2006) argued that if "antecedents are expected to predict engagement and engagement predicts the outcomes, it is possible that engagement mediates the relationship between antecedents and consequences" (p. 607). This claim is consistent with several studies that found engagement significantly mediated the relationship between antecedents and outcome variables; WE specifically was indicated as a strong mechanism to explain the influence of HRM practices on outcome variables (Muduli et al., 2016; Schaufeli and Bakker, 2004). Performance appraisal is a tool to control and shape employee attitude and behaviours (Saratun, 2016). Ismail and Gali (2016) state that a "performance appraisal system aims to motivate the workforce, improve employees' performance by identifying their strengths and weaknesses, develop employees' competencies and link high performance to rewards by distributing compensation, bonuses or promotion opportunities" (p. 2). This overall positive experience, from implementation to rewards, leaves a positive impact on employees satisfaction with performance appraisal, thereby increasing their level of engagement and reducing their turnover intention. SET (Blau, 1961) explains that employees' satisfaction with the appraisal system generates a feeling of fair, unbiased treatment among individuals. These feelings result in positive attitudes and intentions towards the organisation, such as a low intention to leave (Saks, 2006). Saks (2006) found the employees' perceptions of organisational justice, a core element of performance appraisal, affect turnover intention via employee engagement. Likewise, Schaufeli and Bakker (2004) also found a negative association between engagement and turnover intention and found that engagement successfully mediates the relationship between job resources and outcomes. Wan et al (2018) note that WE is a significant mediator of the relationship between work environment and employee turnover intentions among Chinese nurses. Therefore, it is expected that: 113. WE mediates the relationship between PAS and turnover intention. Performanc appraisa satisfactio Research methods Measurements The PAS construct was assessed through a widely accepted, often cited eight-item scale adapted from Miller (2001). The PAS is defined as general satisfaction with the performance appraisal system. The instrument was originally developed by Harris (1988) to assess employees' attitudes towards the fairness of the appraisal system, as well as their satisfaction with their knowledge of the appraisal system. A sample item is, "I know the standards used to evaluate my performance". Cronbach's a has been reported as 0.71 (Miller, 2001). A nine-item scale, UWES9, was adopted to measure the WE scale. The scale was developed by Schaufeli et al. (2006) to assess employees' perception on three dimensions including vigour, dedication and absorption. Vigour is concerned with mental resilience and being willing to embrace one's role performance. Dedication refers to one's enthusiasm and feelings of inspiration at work; whereas absorption is conceptualised as being focused and engrossed in work-related roles (Schaufeli et al, 2002). A sample item is, "My job inspires me". The reliability of the WE was reported as 0.920 (Schaufeli et al., 2006). A five item scale of turnover intention was adopted from Jung and Yoon (2013). Tumover intention is described as employees' willingness to voluntarily and permanently quit their job (Price, 2001). Although the turnover intention is not a precise proxy for the actual rate of employee turnover, previous authors have argued that turnover intention is nonetheless a reliable predictor of voluntary turnover (Carmelia and Weisberga, 2006, Harhara et al, 2015). A sample item is, "I am currently seriously considering leaving my current job to work at another company". The reliability of the tumover intention was reported as 0860 (Jung and Yoon, 2013). A five point Likert scale ranging from 1 (strongly disagree) to 5 (strongly agree) was used to determine individual agreement with the items. The content validity of the instrument was assessed based on whether the measurements adopted in this study adequately measure the latent constructs (Cooper and Schindler, 2011). Content validity can be confirmed by experts in a similar field (Kumar, 2005). A complete package including the questionnaire, research objectives and the operational definitions of the constructs was submitted to two experts in the HRM discipline. No serious concem was indicated. Data collection The data were collected from employees of Malaysia's oil and gas sector. Despite the challenge of low oil prices, Malaysia is considered the largest producer of liquefied natural gas worldwide and remains the most dynamic owner of oil and gas reserves in South East Asia (PWC, 2016). However, this key sector of Malaysia's economy faces a high voluntary turnover rate (Met and Ali, 2014; TalentCorp, 2012). Highly skilled Malaysian oil and gas professionals tend to move from one organisation to another and/or to other countries regions including Middle East, Canada and other rich oil and gas countries (Mansor et al, 2013). The outflow of top talent has deprived local organisations of their talent. The present study is therefore timely to explore the potential ways to retain local oil and gas professionals in the domestic industry. Data were collected from the employees of 12 oil and gas organisations operating in Malaysia. The study was conducted during March and June 2015. The data collection process consists of two questionnaire surveys using a three month time lag strategy (Idris el al, 2014). The first survey focused on employees' satisfaction with PAS (Time 1). Three months later, the survey was administrated to ask employees about their WE and turnover MD intention (Time 2). All participants were briefed that their response will remain confidential and their organisation would not get any information about their perceptions on the study variables. Also, no individual information will be made public. All completed questionnaires were directly returned to the researchers. A souvenir bag including university's writing pad and keychain was given to all participants as the token of appreciation. At Time 1, 422 oil and gas employees participated in our initial survey. At Time 2, 296 participants responded to our follow up survey. Thus, the 296 samples were submitted for final data analysis. The final sample comprises of 189 males (64 per cent) and 106 females (36 per cent). Most of the respondents were highly qualified as they had either undergraduate degree (72 per cent) or master's degree (28 per cent). Finally, participants' average age was 33 years. Before the final data analysis, we examined the potential differences between those who did not participate in the second survey (n=127) and those who participated in both surveys (n=295). The results (>0.05) indicated that the two groups neither differ regarding their mean scores on outcomes variable (WE and turnover intention) nor they differed regarding their demographic characteristics. Common method bias Both procedural and statistical methods were used to address the common method bias issue (Podsakoff et al, 2003; Schwarz et al, 2017). For example, anonymity and confidentiality of the respondents were ensured, and the survey questionnaire was pretested before the main data collection to ensure that there were no difficult or confusing items. Also, a clear set of instructions was provided to facilitate easy completion of the survey. Additionally, a single factor analysis (Harman, 1967) was conducted to determine whether there is any common method bias in the data set. The results of exploratory factor analysis indicate that the first factor holds 28 per cent variance, suggesting common method bias has no impact on the present study (Babin et al, 2016). Data analysis and results The present study used the partial least squares structural equation modelling (PLS SEM) method of data analysis using SmartPLS3.0 (Ringle et al, 2015). PLSSEM is a widely accepted multivariate analytical method used to estimate path models with latent variables (Richter et al. 2016, Rigdon, 2016). Given that the study has an incremental dimension, WE as a mediator, PLS SEM was considered an appropriate method of analysis (Nital et al. 2016). Moreover, a two-stage data analysis was performed (Andersen and Gerbing, 1988). First, the measurement model was tested to ascertain the reliability and validity of the latent constructs, followed by an examination of the structural model to test the hypothetical relationship among the constructs (Chin, 1998; Hair et al., 2017). Measurement model The measurement model was assessed by testing internal consistency reliability, convergent validity (CV) and discriminant validity (DV) (Hair et al, 2017). Internal consistency reliability refers to the degree to which the items measure the latent construct (Richter et al, 2016) Composite reliability (CR) is an established measure of internal consistency reliability (lair et al, 2014). A CR value of 0.7 and above is considered satisfactory (Ilair et al, 2017). The results indicate that PAS (0.896), WE (0.915) and turnover intention (0.936) measurements hold high internal consistency reliability. CV refers to the extent to which a measure correlates positively with alternative measures of the same construct" (Hair et al, 2017, p. 112), which can be examined using outer loadings and average variance extracted (AVE). CV is achieved when a construct shows an AVE score of 0.5 - at least 50 per cent of each indicator's variance should be Performance appraisal satisfaction explained by way of latent variables (Hair et al., 2017). As a result, the outer loading of the items should exceed 0.708. During the first run, two items with low loadinss. PS3 (0.432 and WE7 (0.390), were excluded to improve the AVE of the constructs (Hair et al. 2017: Ramayah el al, 2018). As presented in Table I, the results of the second run indicated that all constructs have achieved a satisfactory level of AVE, PAS (0.553). WE (0.577) and turnover intention (0.747), thereby confirming the CV. Although other items of PAS (PS8=0.640) and WE (W8=0.602, W9_0.591) have factor loadings less than the standard criterion (0.708). all items were maintained as other items of the same construct have achieved desired AVE scores (0.5) (Avkiran, 2017, Hair et al, 2017). DV is the "extent to which a construct is truly distinct from other constructs by empirical standards" (Hair et al, 2017, p. 115). Simply, DV indicates that a construct is unique from other constructs in the study. A heterotrait-monotrait (HTMT) ratio of correlations (Ilenseler et al, 2015) was used to assess the DV.HTMT is a recent and more robust way of assessing DV (Hair et al. 2017). An HTMT value above 09 indicates lack of DV. and vice versa (lenseler el al. 2015). The results indicate that all HTMT values were less than the cut-off value (0.90), thereby confirming the distinctiveness of all constructs in the study's model, as presented in Table IL Structural model The structural model examines the predictive capabilities and relationship between the constructs (Hair et al., 2017). The bootstrapping method (65,000 resamples) was performed to Latent constructs Items Loadings OR AVE 0563 Performance appraisal satisfaction 0.856 Work engagement PASI PAS2 PASA PASS PAS6 PASZ PASS WEL WE2 W123 WEA WES W16 W18 W1:9 0577 0915 0.730 0.768 0717 0.757 0.744 0833 0.640 0731 0816 0848 0850 0.872 0711 A02 0591 0.854 0.854 Turnover intention TIL 0.747 0.986 T12 0295 T13 TIA 03 0815 TL5 Table L. Results of the measurement mode Note: PAS3 and WE7 were excluded due to low kadings Latent construct PAS Turnover intention PAS Turnker intention 0.125 0.565 0.397 Notes: PAS performance appraisal satisfaction; WE, work engagement WE Table II. HTMT criterion MD produce the path coefficient and the corresponding significance of the parameter estimates A critical l-value 1.615(p 1.96, two-tailed, p0.05) indicated that the two groups neither differ regarding their mean scores on outcomes variable (WE and turnover intention) nor they differed regarding their demographic characteristics. Common method bias Both procedural and statistical methods were used to address the common method bias issue (Podsakoff et al, 2003; Schwarz et al, 2017). For example, anonymity and confidentiality of the respondents were ensured, and the survey questionnaire was pretested before the main data collection to ensure that there were no difficult or confusing items. Also, a clear set of instructions was provided to facilitate easy completion of the survey. Additionally, a single factor analysis (Harman, 1967) was conducted to determine whether there is any common method bias in the data set. The results of exploratory factor analysis indicate that the first factor holds 28 per cent variance, suggesting common method bias has no impact on the present study (Babin et al, 2016). Data analysis and results The present study used the partial least squares structural equation modelling (PLS SEM) method of data analysis using SmartPLS3.0 (Ringle et al, 2015). PLSSEM is a widely accepted multivariate analytical method used to estimate path models with latent variables (Richter et al. 2016, Rigdon, 2016). Given that the study has an incremental dimension, WE as a mediator, PLS SEM was considered an appropriate method of analysis (Nital et al. 2016). Moreover, a two-stage data analysis was performed (Andersen and Gerbing, 1988). First, the measurement model was tested to ascertain the reliability and validity of the latent constructs, followed by an examination of the structural model to test the hypothetical relationship among the constructs (Chin, 1998; Hair et al., 2017). Measurement model The measurement model was assessed by testing internal consistency reliability, convergent validity (CV) and discriminant validity (DV) (Hair et al, 2017). Internal consistency reliability refers to the degree to which the items measure the latent construct (Richter et al, 2016) Composite reliability (CR) is an established measure of internal consistency reliability (lair et al, 2014). A CR value of 0.7 and above is considered satisfactory (Ilair et al, 2017). The results indicate that PAS (0.896), WE (0.915) and turnover intention (0.936) measurements hold high internal consistency reliability. CV refers to the extent to which a measure correlates positively with alternative measures of the same construct" (Hair et al, 2017, p. 112), which can be examined using outer loadings and average variance extracted (AVE). CV is achieved when a construct shows an AVE score of 0.5 - at least 50 per cent of each indicator's variance should be Performance appraisal satisfaction explained by way of latent variables (Hair et al., 2017). As a result, the outer loading of the items should exceed 0.708. During the first run, two items with low loadinss. PS3 (0.432 and WE7 (0.390), were excluded to improve the AVE of the constructs (Hair et al. 2017: Ramayah el al, 2018). As presented in Table I, the results of the second run indicated that all constructs have achieved a satisfactory level of AVE, PAS (0.553). WE (0.577) and turnover intention (0.747), thereby confirming the CV. Although other items of PAS (PS8=0.640) and WE (W8=0.602, W9_0.591) have factor loadings less than the standard criterion (0.708). all items were maintained as other items of the same construct have achieved desired AVE scores (0.5) (Avkiran, 2017, Hair et al, 2017). DV is the "extent to which a construct is truly distinct from other constructs by empirical standards" (Hair et al, 2017, p. 115). Simply, DV indicates that a construct is unique from other constructs in the study. A heterotrait-monotrait (HTMT) ratio of correlations (Ilenseler et al, 2015) was used to assess the DV.HTMT is a recent and more robust way of assessing DV (Hair et al. 2017). An HTMT value above 09 indicates lack of DV. and vice versa (lenseler el al. 2015). The results indicate that all HTMT values were less than the cut-off value (0.90), thereby confirming the distinctiveness of all constructs in the study's model, as presented in Table IL Structural model The structural model examines the predictive capabilities and relationship between the constructs (Hair et al., 2017). The bootstrapping method (65,000 resamples) was performed to Latent constructs Items Loadings OR AVE 0563 Performance appraisal satisfaction 0.856 Work engagement PASI PAS2 PASA PASS PAS6 PASZ PASS WEL WE2 W123 WEA WES W16 W18 W1:9 0577 0915 0.730 0.768 0717 0.757 0.744 0833 0.640 0731 0816 0848 0850 0.872 0711 A02 0591 0.854 0.854 Turnover intention TIL 0.747 0.986 T12 0295 T13 TIA 03 0815 TL5 Table L. Results of the measurement mode Note: PAS3 and WE7 were excluded due to low kadings Latent construct PAS Turnover intention PAS Turnker intention 0.125 0.565 0.397 Notes: PAS performance appraisal satisfaction; WE, work engagement WE Table II. HTMT criterion MD produce the path coefficient and the corresponding significance of the parameter estimates A critical l-value 1.615(p 1.96, two-tailed, pStep by Step Solution
There are 3 Steps involved in it
1 Expert Approved Answer
Step: 1 Unlock
Question Has Been Solved by an Expert!
Get step-by-step solutions from verified subject matter experts
Step: 2 Unlock
Step: 3 Unlock
