Question: Please answer the following question based on the table: 16) Which of the following statements are true regarding profit from car sales? a.Profit from new
Please answer the following question based on the table:
16) Which of the following statements are true regarding profit from car sales?
a.Profit from new cars is more variable than profit from used cars
b.Profit from used cars is more variable than profit from new cars
c.Profit from new car sales has a higher standard deviation than profit from used car sales
d.Both B and C are correct

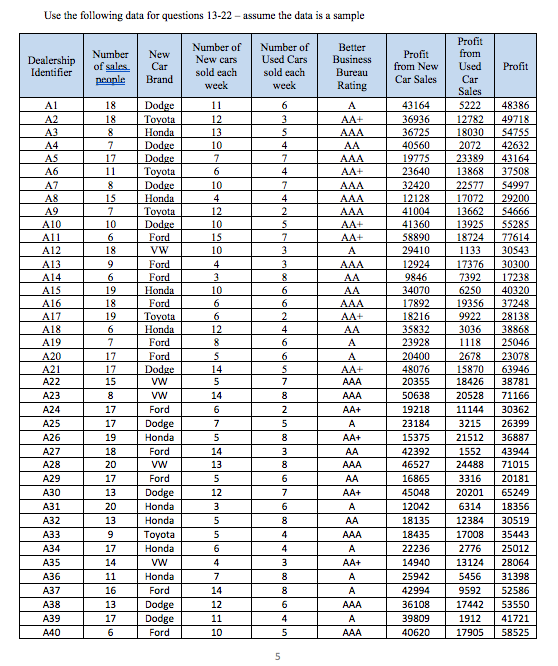
Use the following data for questions 13-22 - assume the data is a sample Number of Number of Better Profit Dealership Number New New cars Used Cars Business Profit from Identifier of sales Car sold each sold each Bureau from New Used Profit people Brand week week Rating Car Sales Car Sales Al 18 Dodge 11 6 A 43164 5222 A2 18 Toyota 12 AA+ $6936 12782 49718 A3 Honda 13 AAA 3672: 54755 A4 7 Dodge 10 AA 40560 2072 42632 AS 17 Dodge 7 AAA 43164 A6 11 6 AA+ 23640 13868 37508 A7 10 AAA 32420 AB 15 22577 Honda 4 AAA 12128 17072 29200 A9 Toyota 12 AAA 41004 13662 10 54666 A10 Dodge 10 AA+ 41360 13925 All 6 AA+ 58890 18724 77614 18 VW 10 A 29410 113 30543 AL 9 AAA 12924 30300 6 Ford 19 AA 984 7397 17238 A15 18 Honda 10 AA 34070 6250 Ford 17892 9356 37248 A17 19 Toyota AA+ 8216 28138 A18 6 Honda AA 35832 18868 Ford A 23928 1118 A20 17 A 23078 421 17 AA+ 48076 5870 63946 A22 15 VW AAA 20355 18426 38781 A23 VW 14 AAA 50638 20528 71166 A24 17 Ford AA+ 19218 11144 30362 A25 17 Dodge A 23184 3215 26399 A26 19 Honda AA+ 15375 21512 A27 18 AA 12392 A28 20 VW 13 AAA 46527 24488 71015 129 17 Ford AA 16865 1316 20181 A30 13 Dodge 12 AA+ 45048 65249 A31 20 Honda A 6314 18356 13 Honda AA 18135 30519 A33 9 AAA 18435 17008 35443 A34 17 Honda A 22230 2776 25012 435 14 VW AA+ 14940 13124 A36 11 Honda A 25947 6456 16 Ford 14 A 12994 9597 A38 13 Dodge 12 AAA 36108 17442 A39 17 Dodge 11 A 1912 41721 940 6 Ford 10 AAA 40620 58525 5
Step by Step Solution
There are 3 Steps involved in it
Get step-by-step solutions from verified subject matter experts
