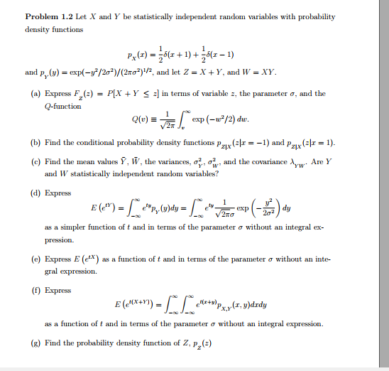
Question: Please answer these 3 questions: Problem 1.1 A random variable X has cumulative probability distribution function Fx(x) = [1 -exp(-2r)]u(r) where w(.) is the unit-step
Please answer these 3 questions:

![has cumulative probability distribution function Fx(x) = [1 -exp(-2r)]u(r) where w(.) is](https://dsd5zvtm8ll6.cloudfront.net/si.experts.images/questions/2024/11/6731abc657915_4866731abc63b68a.jpg)

Problem 1.1 A random variable X has cumulative probability distribution function Fx(x) = [1 -exp(-2r)]u(r) where w(.) is the unit-step function. (a) Calculate the following probabilities: Pr[X + F- and O = atan?(Y, X) be the polar coordinates associated with (X, Y). Find Pr0
Step by Step Solution
There are 3 Steps involved in it
Get step-by-step solutions from verified subject matter experts
