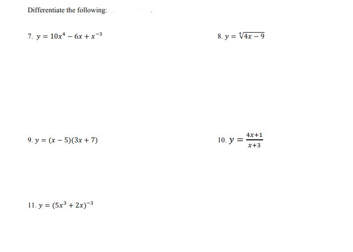
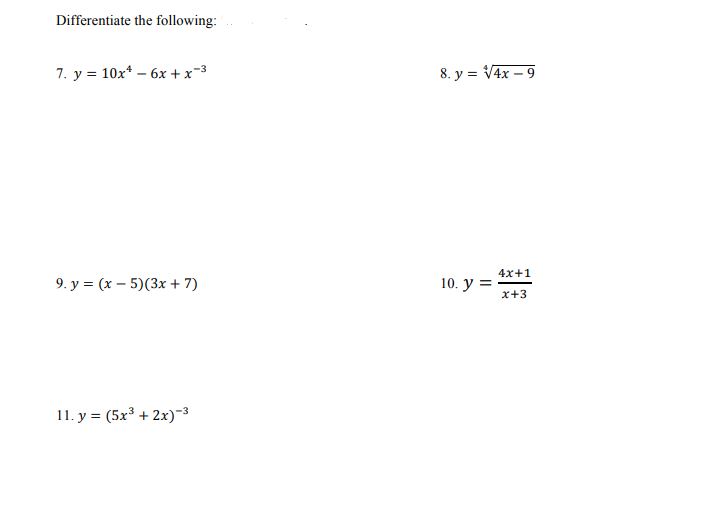
Question: please answer those equations in derivative form asap Differentiate the following: 7. y = 10x* - 6x + x-3 8. y = V4x - 9

please answer those equations in derivative form asap

Differentiate the following: 7. y = 10x* - 6x + x-3 8. y = V4x - 9 9. y = (x - 5) (3x + 7) 4x+1 10. V= x+3 11. y = (5x3 + 2x)-3
Step by Step Solution
There are 3 Steps involved in it
Get step-by-step solutions from verified subject matter experts
