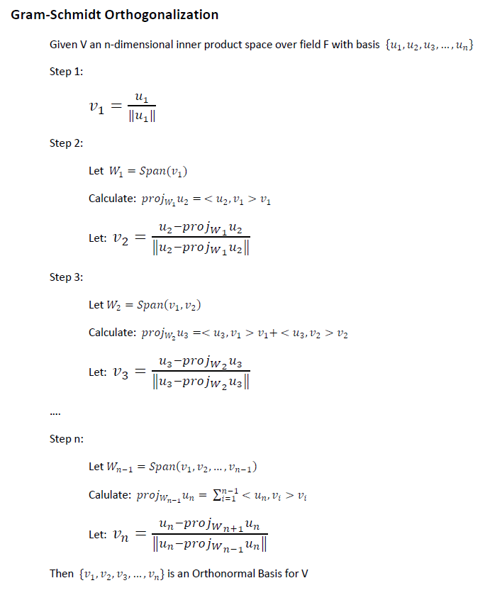
Question: Please answer using the steps given below! Gram-Schmidt Orthogonalization Given V an n-dimensional inner product space over field F with basis {u1, uz, us, ...,
Please answer using the steps given below!



Step by Step Solution
There are 3 Steps involved in it
1 Expert Approved Answer
Step: 1 Unlock
Question Has Been Solved by an Expert!
Get step-by-step solutions from verified subject matter experts
Step: 2 Unlock
Step: 3 Unlock
