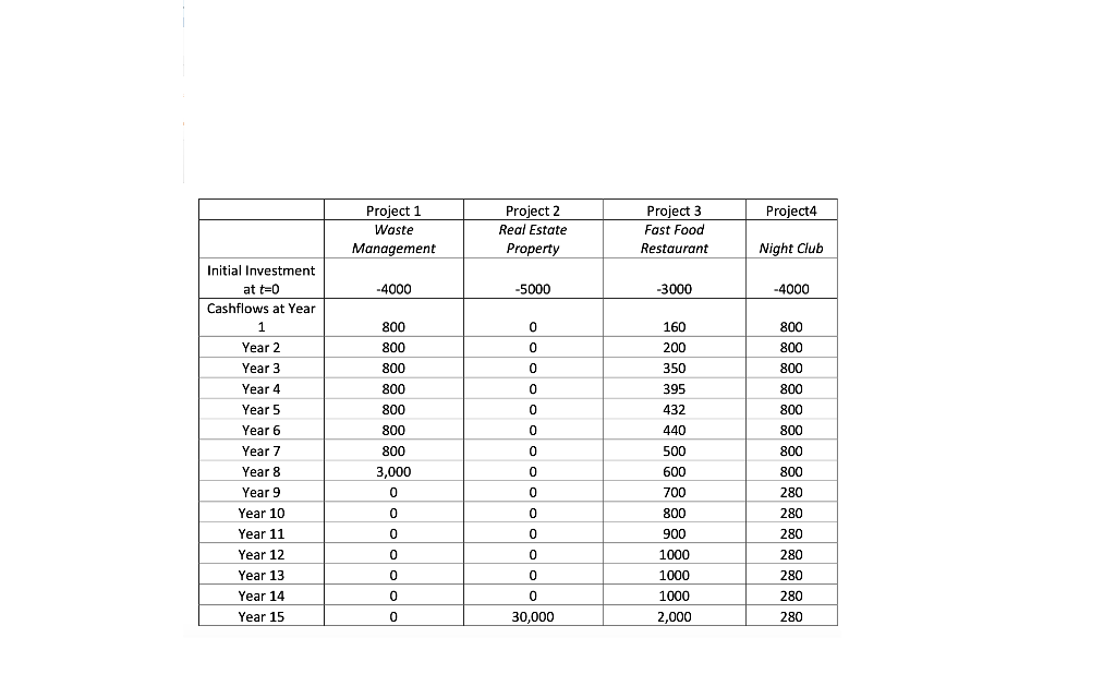
Question: Please answer with explanation Project 4 Project 1 Waste Management Project 2 Real Estate Property Project 3 Fast Food Restaurant Night Club Initial Investment at


Please answer with explanation
Project 4 Project 1 Waste Management Project 2 Real Estate Property Project 3 Fast Food Restaurant Night Club Initial Investment at t=0 Cashflows at Year -4000 -5000 -3000 -4000 800 800 800 800 800 800 800 800 800 800 800 800 800 3,000 800 Year 2 Year 3 Year 4 Year 5 Year 6 Year 7 Year 8 Year 9 Year 10 Year 11 Year 12 Year 13 Year 14 Year 15 160 200 350 395 432 440 500 600 700 800 900 1000 1000 1000 2,000 800 280 280 280 280 280 280 30,000 280 Problem 4 (20 points): FastTrack Bikes, Inc., is thinking of developing a new composite road bike. Development will take 6 years and the cost is $200,000 per year. Once in production, the bike is expected to make $300,000 per year for 10 years. The cash inflows begin at the end of year 7. Assuming the cost of capital is 10%: a. Calculate the NPV of this investment opportunity. Should the company make the investment? (10 points) b. Calculate the IRR and use it to determine the maximum deviation allowable in the cost of capital estimate to leave the decision unchanged. (10 points) Project 4 Project 1 Waste Management Project 2 Real Estate Property Project 3 Fast Food Restaurant Night Club Initial Investment at t=0 Cashflows at Year -4000 -5000 -3000 -4000 800 800 800 800 800 800 800 800 800 800 800 800 800 3,000 800 Year 2 Year 3 Year 4 Year 5 Year 6 Year 7 Year 8 Year 9 Year 10 Year 11 Year 12 Year 13 Year 14 Year 15 160 200 350 395 432 440 500 600 700 800 900 1000 1000 1000 2,000 800 280 280 280 280 280 280 30,000 280 Problem 4 (20 points): FastTrack Bikes, Inc., is thinking of developing a new composite road bike. Development will take 6 years and the cost is $200,000 per year. Once in production, the bike is expected to make $300,000 per year for 10 years. The cash inflows begin at the end of year 7. Assuming the cost of capital is 10%: a. Calculate the NPV of this investment opportunity. Should the company make the investment? (10 points) b. Calculate the IRR and use it to determine the maximum deviation allowable in the cost of capital estimate to leave the decision unchanged. (10 points)
Step by Step Solution
There are 3 Steps involved in it
Get step-by-step solutions from verified subject matter experts
