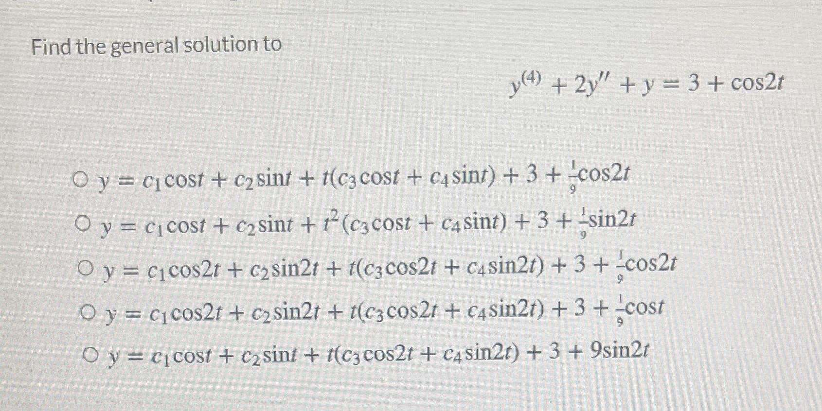
Question: Please be clear Find the general solution to y (4) + 2y + y = 3+ cos2t O y = cicost + c2sint + t(c3
Please be clear

Step by Step Solution
There are 3 Steps involved in it
1 Expert Approved Answer
Step: 1 Unlock
Question Has Been Solved by an Expert!
Get step-by-step solutions from verified subject matter experts
Step: 2 Unlock
Step: 3 Unlock
