Question: Please complete all work in excel. Use excel to make the calculations (cells can be clicked on to view any formulas used) and be sure
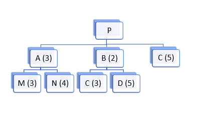
Please complete all work in excel. Use excel to make the calculations (cells can be clicked on to view any formulas used) and be sure to identify your answer, including units. Refer to this product tree:
If 51 Ps are needed, and there are 18 Bs on hand, how many Cs will be needed?

Step by Step Solution
There are 3 Steps involved in it
Get step-by-step solutions from verified subject matter experts
