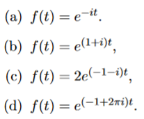
Question: Please compute an analytic expression, by hand, for the real and imaginary parts of the following complex functions. Please also plot these in python or
Please compute an analytic expression, by hand, for the real and imaginary parts
of the following complex functions. Please also plot these in python or Matlab for t::a
b
c
d
Include both your plotting code and your analytical work in the pdf you submit to show your work.
Step by Step Solution
There are 3 Steps involved in it
1 Expert Approved Answer
Step: 1 Unlock
Question Has Been Solved by an Expert!
Get step-by-step solutions from verified subject matter experts
Step: 2 Unlock
Step: 3 Unlock
