Question: Please consider table 3.2 and the related diagram. Using this information please answer the following question. What is the likelihood the project will be complete

Please consider table 3.2 and the related
Please consider table 3.2 and the related
Please consider table 3.2 and the related
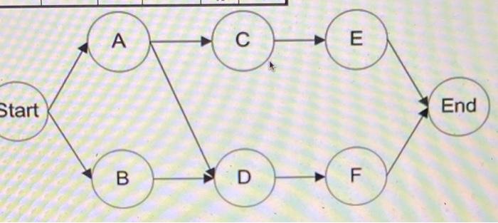
Please consider table 3.2 and the related diagram. Using this information please answer the following question. What is the likelihood the project will be complete in 26 days or less? Optimistic Most Pessimistic, o? Table 3.2 Activity A B Likely 8 1 4 6 2 7 6 5 7 22 9 10 22 20 9 7 11.1 1.8 1 11.11 9.0 D E F 2 2 5 7 40 A E Start End B D F About 73.5% None of the above About 87% About 25.6%

Step by Step Solution

There are 3 Steps involved in it

1 Expert Approved Answer
Step: 1 Unlock blur-text-image
Question Has Been Solved by an Expert!

Get step-by-step solutions from verified subject matter experts

Step: 2 Unlock
Step: 3 Unlock

Students Have Also Explored These Related General Management Questions!