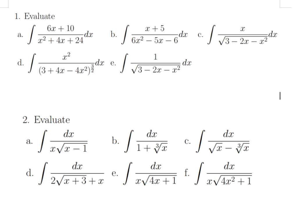
Question: please details 1. Evaluate 6x + 10 x + 5 dx a. / b. dx c. dx 2 + 4x + 24 6x2 - 5x

please details

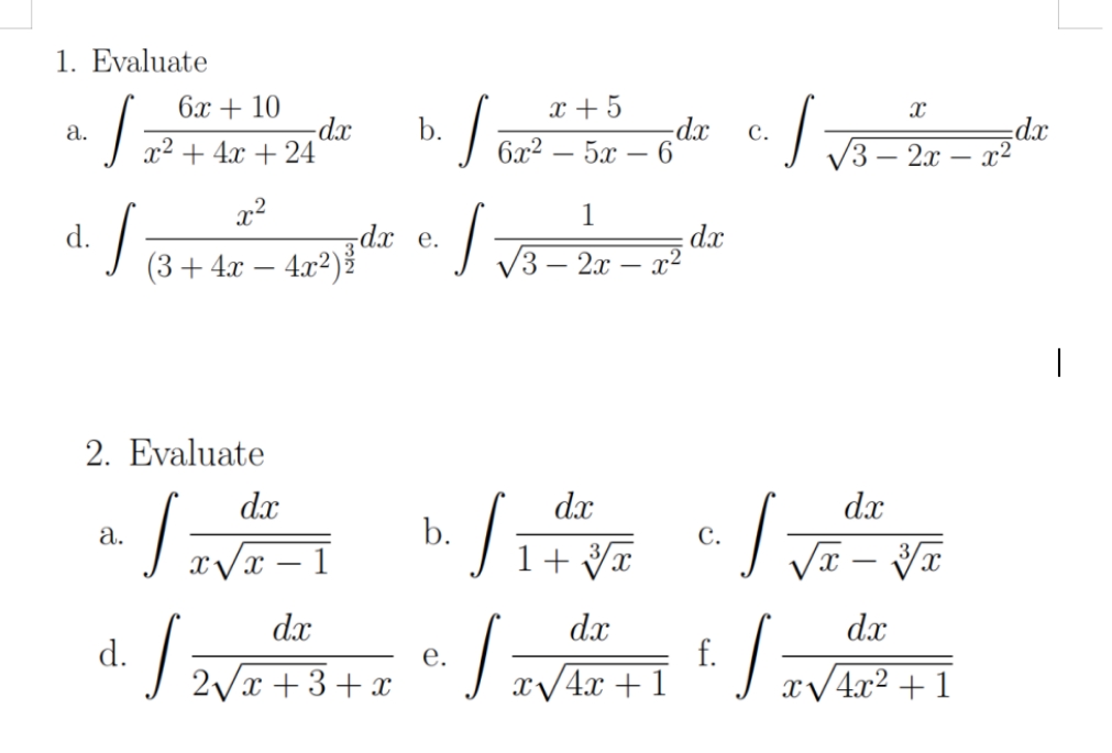
1. Evaluate 6x + 10 x + 5 dx a. / b. dx c. dx 2 + 4x + 24 6x2 - 5x - 6 13 - 2x - 22 d. dx e. dx (3+ 4x - 4x2 ) V3 - 2x - x2 - 2. Evaluate dx dx dx a. b. C. xvx - 1 1+ 3x Vx - 3x dx dx dx d. e. 2vx+3+x V4x + 1 V 4x2 + 1
Step by Step Solution
There are 3 Steps involved in it
Get step-by-step solutions from verified subject matter experts
