Question: PLEASE DO #3 Sample Company Wage Schedule (5 points) Pay Job Grade Title Hourlyofof of Total Yearly Pay Rate A-Shift B-Shift C Total Yearly Total


PLEASE DO #3
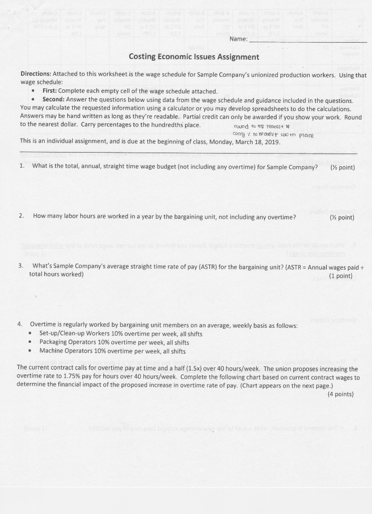
Sample Company Wage Schedule (5 points) Pay Job Grade Title Hourlyofof of Total Yearly Pay Rate A-Shift B-Shift C Total Yearly Total Yearly Total Annual Wages Wages A-Shift Wages B-Shift Wages C-Shift All Shifts Ees EesShift Ees Setup/Clean $15.00 6 up Worker Warehouse $16.00 8 Worker 4 $187,200 124, 800 43to, ocxo 460 g00 345, bou23o 45 Packaging $17.50 12 12 10 444, 28 + 94, 287$370,240 1. 268 3 4 Operator Machine Operator Quality Control Technician $19,00 20201548.1 $798,720 a, 040, ,48 $19.50 351,000 51, 000 1,063, 0oo Maintenance $22.006 Technician 4+5 ,20o 156, 200 5 53 4o Notes: All employees on the above wage schedule are members of the bargaining unit All employees work full time and full year for the company . . Sample Company pays shift differentials of 20c per hour to B-Shift workers and 30c per hour to C-Shift workers . The plant operates on a 24/5 operation and is closed on the weekends Name: Costing Economic Issues Assignment Directions: Attached to this worksheet is the wage schedule for Sample Company's unionized production workers. Using that wage schedule First:Complete each empty cell of the wage schedule attached. Second: Answer the questions below using data from the wage schedule and guidance included in the questions. You may calculate the requested information using a calculator or you may develop spreadsheets to do the calculations Answers may be hand written as long as they're readable. Partial credit can only be awarded if you show your work. Round to the nearest dollar. Carry percentages to the hundredths place ruund to inp reares cony to maert 1oon place This is an individual assignment, and is due at the beginning of class, Monday, March 18, 2019. 1. What is the total, annual, straight time wage budget (not including any overtime) for Sample Company? (h point) 2. How many labor hours are worked in a year by the bargaining unit, not including any overtime? (% point) 3. What's Sample Company's average straight time rate of pay (ASTR) for the bargaining unit? (ASTR Annual wages paid+ total hours worked) (1 point) 4. Overtime is regularly worked by bargaining unit members on an average, weekly basis as follows: set-up/Clean-up workers 10% overtime per week, all shifts Packaging Operators 10% overtime per week, all shifts Machine Operators 10% overtime per week, all shifts . . The current contract calls for overtime pay at time and a half (1.5x) over 40 hours/week. The union proposes increasing the overtime rate to 1.75% pay for hours over 40 hours/week. Complete the following chart based on current contract wages to determine the financial impact of the proposed increase in overtime rate of pay. (Chart appears on the next page.) (4 points)
Step by Step Solution
There are 3 Steps involved in it
Get step-by-step solutions from verified subject matter experts
