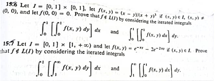
Question: please do fast 15.6 Let / = [0, 1] x [0, I ]. let S(x, y) = (x - y)/(x + y) if (x, y)el.
please do fast
![please do fast 15.6 Let / = [0, 1] x [0, I ]. let](https://dsd5zvtm8ll6.cloudfront.net/si.experts.images/questions/2025/02/67a844e22c879_93067a844e2097ec.jpg)
Step by Step Solution
There are 3 Steps involved in it
1 Expert Approved Answer
Step: 1 Unlock
Question Has Been Solved by an Expert!
Get step-by-step solutions from verified subject matter experts
Step: 2 Unlock
Step: 3 Unlock
