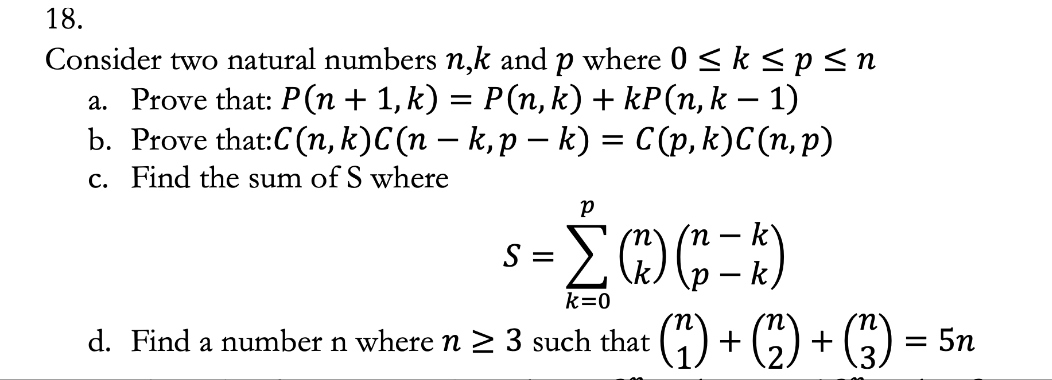
Question: please do fast!! i will rate you good for sure!!! 18. Consider two natural numbers n,k and p where 0 S k S p S
please do fast!! i will rate you good for sure!!!

18. Consider two natural numbers n,k and p where 0 S k S p S n a. Prove that: P(n + 1, k) = POI, k) + kP(n, k 1) b. Prove that:C(n, k)C(n k, p k) = C (p, 106' (n, p) c. Find the sum of S where p n n k S _ Z (k) (p - k) k=0 (1. Find a number n Where n 2 3 such that (at) + (g) + (2) = 5n
Step by Step Solution
There are 3 Steps involved in it
Get step-by-step solutions from verified subject matter experts
