Question: please do fast!! I will rate you good for sure!! Problem 3 Let ? = {a, b, c, d}. Consider the following process: Xo :
please do fast!! I will rate you good for sure!!

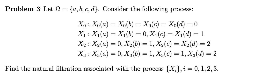
Problem 3 Let ? = {a, b, c, d}. Consider the following process: Xo : Xo(a) = Xo(b) = Xo(c) = Xo(d) = 0 X1 : X1(a) = X1(b) = 0, X1(c) = Xi(d) = 1 X2 : X2(a) = 0, X2(b) = 1, X2(c) = X2(d) = 2 X3 : X3(a) = 0, X3(b) = 1, X3(c) = 1, X3(d) = 2 Find the natural filtration associated with the process {Xi}, i = 0, 1, 2, 3
Step by Step Solution
There are 3 Steps involved in it
Get step-by-step solutions from verified subject matter experts
