Question: Please do in Excel if possible and show equations:) Much Appreciated G H T J K L M N O B C DEF An automated


Please do in Excel if possible and show equations:) Much Appreciated
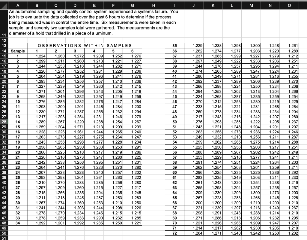
G H T J K L M N O B C DEF An automated sampling and quality control system experienced a systems failure. You job is to evaluate the data collected over the past 6 hours to detemine if the process being measured was in control the entire time. Six measurements were taken in each sample, and seventy two samples total were gathered. The measurements are the diameter of a hold that drilled in a piece of aluminum. 11 OBSERVATIONS WITHIN SAMPLES 35 1.229 1.238 1.298 1.300 1.248 1.261 2 3 4 5 6 36 1.289 1.260 1.272 1.209 1.252 1.276 37 1.212 12 13 14 Sample 15 1 16 2 17 3 18 4 19 5 20 6 21 7 38 39 40 41 42 1.277 1.299 1.222 1.257 1.289 1.271 1.289 43 1.224 22 8 44 1.202 23 24 25 26 9 10 11 12 13 1.211 1.258 1.277 1.254 1.234 1.239 1.201 1.249 1.285 1.200 1.271 1.293 1.267 1.204 1.226 1.278 1.256 1.265 1.225 45 46 47 48 27 49 28 14 29 30 31 32 33 1 1.224 1.299 1.244 1.220 1.204 1.293 1.227 1.271 1.268 1.276 1.293 1.230 1.217 1.289 1.259 1.228 1.263 1.243 1.258 1.260 1.220 1.242 1.264 1.207 1.293 1.210 1.297 1.215 1.211 1.267 1.241 1.278 1.278 1.292 15 16 17 18 19 20 1.260 1.216 1.252 1.219 1.256 1.249 1.296 1.282 1.282 1.201 1.287 1.254 1.220 1.271 1.261 1.227 1.298 1.230 1.218 1.273 1.256 1.276 1.228 1.201 1.283 1.260 1.235 1.245 1.260 1.203 1.234 1.233 1.292 1.213 1.244 1.281 1.296 1.257 1.260 1.243 1.297 1.276 1.246 1.256 1.231 1.238 1.213 1.244 1.275 1.277 1.283 1.217 1.247 1.295 1.223 1.240 1.261 1.285 1.215 1.204 1.287 1.253 1.244 1.246 1.290 1.285 1.221 1.282 1.229 1.24 1.210 1.242 1.205 1.249 1.247 1.284 1.232 1.246 1.254 1.209 1.265 1.264 1.228 1.253 1.219 1.280 1.251 1.270 1.257 1.263 1.256 1.227 1.235 1.253 1.210 1.298 1.215 1.232 1.227 1.27 1.206 1.276 1.236 1.215 1.216 1.259 1.284 1.200 1.294 1.279 1.267 1.299 1.240 1.247 1.234 1.291 1.286 1.225 1.201 1.280 1.202 1.222 1.280 1.217 1.248 1.283 1.250 1.226 1.215 1.285 50 51 52 53 54 55 56 1.262 1.237 1.297 1.244 1.274 1.286 1.292 1.266 1.294 1.224 1.270 1.233 1.269 1.217 1.276 1.243 1.263 1.249 1.299 1.225 1.288 1.253 1.291 1.262 1.296 1.283 1.261 1.255 1.209 1.267 1.200 1.221 1.298 1.274 1.285 1.249 1.276 1.265 1.249 1.237 1.298 1.253 1.268 1.212 1.215 1.278 1.243 1.293 1.221 1.255 1.232 1.262 1.250 1.289 1.229 1.274 1.254 1.225 1.235 1.243 1.298 1.230 1.228 1.200 1.239 1.291 1.203 1.227 1.233 1.295 1.247 1.281 1.206 1.250 1.213 1.285 1.280 1.281 1.283 1.242 1.222 1.204 1.236 1.256 1.275 1.203 1.202 1.277 1.224 1.261 1.225 1.203 1.254 1.257 1.300 1.266 1.210 1.216 1.288 1.220 1.279 1.206 1.294 1.224 1.216 1.239 1.234 1.204 1.259 1.219 1.268 1.234 1.207 1.205 1.201 1.224 1.211 1.214 1.217 1.242 1.241 1.264 1.259 1.286 1.211 1.238 1.238 1.273 1.245 1.200 1.249 1.214 1.232 1.247 1.205 1.250 1.251 1.211 1.231 1.255 1.270 1.206 1.266 1.254 1.229 1.264 1.204 1.280 1.237 1.207 1.246 1.287 1.288 1.251 1.249 1.211 1.203 1.211 1.292 1.233 1.219 1.257 1.203 1.228 1.210 1.267 1.210 1.295 1.207 1.210 1.202 34 35 21 1.216 57 22 1.287 1.253 1.221 1.234 1.216 1.286 1.248 1.273 1.210 1.265 1.256 1.267 1.216 1.251 1.203 1.235 1.249 1.220 1.204 1.209 1.283 1.200 1.297 1.243 1.213 1.266 1.262 1.240 36 37 38 39 40 58 59 60 61 23 24 25 26 62 41 27 63 42 43 44 45 46 1.238 1.241 1.228 1.293 1.270 1.209 1.266 1.218 1.274 1.244 1.270 1.259 1.201 28 29 30 31 32 33 34 64 65 66 67 68 69 47 1.271 1.286 1.206 1.250 1.221 70 1.221 1.226 1.209 48 49 50 51 71 72 1.214 1.264 1.217 1.271 1.230 1.242 Question Determine the correct control charts to use, then calculate the data needed for each control chart, then create and show the control charts below. Question Evaluate each control chart (in the propor order) using the four factors to check identified in the lecture notes to determine if the process is in control Question If the process is not in control, specifically when did it go out of control? R-bar Grading Rubric D3 0 2 Comments D4 X-bar A2 Points Points Question Possible Earned 1 45 2 45 0.48 Oo oo 10 3 TOTAL 100Step by Step Solution
There are 3 Steps involved in it
1 Expert Approved Answer
Step: 1 Unlock
Question Has Been Solved by an Expert!
Get step-by-step solutions from verified subject matter experts
Step: 2 Unlock
Step: 3 Unlock
