Question: Please do it right this time, I need to see book open and book closed to understand it. Thank you so much You have been
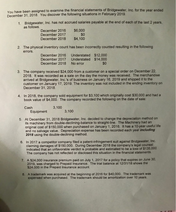
You have been assigned to examine the financial statements of Bridgewater, Inc. for the year ended December 31, 2018. You discover the following situations in February 2019 Bridgewater, Inc. has not accrued salaries payable at the end of each of the last 2 years, as follows 1. December 2016 December 2017 December 2018 $6,000 $0 $4,100 The physical inventory count has been incorrectly counted resulting in the following errors 2. December 2016 Understated $12,000 December 2017 Understated $14,000 December 2018 No error so 3. The company received $24,000 from a customer on a special order on December 22 2018. It was recorded as a sale on the day the money was received. The merchandise arrived at Bridgewater, Inc.'s of business on January 16, 2019 and shipped it to the customer on January 17, 2019. The inventory was not included in the ending inventory on December 31, 2018. 4. In 2018, the company sold equipment for $3,100 which originally cost $30,000 and had a book value of $4,000. The company recorded the following on the date of sale: Cash 3,100 Equipment 3,100 At December 31, 2018 Bridgewater, Inc. decided to change the depreciation method on its machinery from double-declining-balance to straight-line. The Machinery had an original cost of $150,000 when purchased on January 1, 2016. It has a 10-year useful life and no salvage value. Depreciation expense has been recorded each year including 2018 using the double-declining method 5. 6. In 2017 a competitor company filed a patent-infringement suit against Bridgewater, Inc. claiming damages of $150,000. During December 2018 the company's legal counsel indicated that an unfavorable verdict is probable and estimated to be a loss of $135,000 The company has not reflected or disclosed this situation in the financial statements A $24,000 insurance premium paid on July 1, 2017 for a policy that expires on June 30, 2019, was charged to Prepaid Insurance. The trial balance at 12/31/18 shows the 7. 24,000 in the Prepaid Insurance account A trademark was acquired at the beginning of 2016 for $40,000. The trademark was expensed when purchased. The trademark should be amortization over 10 years 8. You have been assigned to examine the financial statements of Bridgewater, Inc. for the year ended December 31, 2018. You discover the following situations in February 2019 Bridgewater, Inc. has not accrued salaries payable at the end of each of the last 2 years, as follows 1. December 2016 December 2017 December 2018 $6,000 $0 $4,100 The physical inventory count has been incorrectly counted resulting in the following errors 2. December 2016 Understated $12,000 December 2017 Understated $14,000 December 2018 No error so 3. The company received $24,000 from a customer on a special order on December 22 2018. It was recorded as a sale on the day the money was received. The merchandise arrived at Bridgewater, Inc.'s of business on January 16, 2019 and shipped it to the customer on January 17, 2019. The inventory was not included in the ending inventory on December 31, 2018. 4. In 2018, the company sold equipment for $3,100 which originally cost $30,000 and had a book value of $4,000. The company recorded the following on the date of sale: Cash 3,100 Equipment 3,100 At December 31, 2018 Bridgewater, Inc. decided to change the depreciation method on its machinery from double-declining-balance to straight-line. The Machinery had an original cost of $150,000 when purchased on January 1, 2016. It has a 10-year useful life and no salvage value. Depreciation expense has been recorded each year including 2018 using the double-declining method 5. 6. In 2017 a competitor company filed a patent-infringement suit against Bridgewater, Inc. claiming damages of $150,000. During December 2018 the company's legal counsel indicated that an unfavorable verdict is probable and estimated to be a loss of $135,000 The company has not reflected or disclosed this situation in the financial statements A $24,000 insurance premium paid on July 1, 2017 for a policy that expires on June 30, 2019, was charged to Prepaid Insurance. The trial balance at 12/31/18 shows the 7. 24,000 in the Prepaid Insurance account A trademark was acquired at the beginning of 2016 for $40,000. The trademark was expensed when purchased. The trademark should be amortization over 10 years 8
Step by Step Solution
There are 3 Steps involved in it
Get step-by-step solutions from verified subject matter experts
