Question: please do the question and dont give me back a complete different work PART 1 (25 marks) Exclusive Souvenirs Hut does customize, hand-crafted memorabilia for
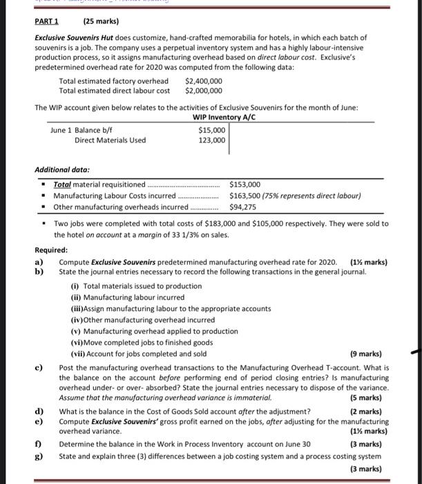
PART 1 (25 marks) Exclusive Souvenirs Hut does customize, hand-crafted memorabilia for hotels, in which each batch of souvenirs is a job. The company uses a perpetual inventory system and has a highly labour-intensive production process, so it assigns manufacturing overhead based on direct labour cost. Exclusive's predetermined overhead rate for 2020 was computed from the following data: Total estimated factory overhead $2,400,000 Total estimated direct labour cost $2,000,000 The WIP account given below relates to the activities of Exclusive Souvenirs for the month of June: WIP Inventory A/C June 1 Balance b/ $15,000 Direct Materials Used 123,000 Additional data: Total material requisitioned $153,000 Manufacturing Labour Costs incurred. $163,500 (75% represents direct labour) - Other manufacturing overheads incurred $94,275 Two jobs were completed with total costs of $183,000 and $10,000 respectively. They were sold to the hotel on account at a margin of 33 1/3% on sales. Required: a) Compute Exclusive Souvenirs predetermined manufacturing overhead rate for 2020. (1% marks) b) State the journal entries necessary to record the following transactions in the general journal. (1) Total materials issued to production (ii) Manufacturing labour incurred (iii) Assign manufacturing labour to the appropriate accounts (iv)Other manufacturing overhead incurred (1) Manufacturing overhead applied to production (vi)Move completed jobs to finished goods (vii) Account for jobs completed and sold (9 marks) c) Post the manufacturing overhead transactions to the Manufacturing Overhead T-account. What is the balance on the account before performing end of period closing entries? Is manufacturing overhead under-or over-absorbed? State the journal entries necessary to dispose of the variance. Assume that the manufacturing overhead variance is immaterial. (5 marks) d) What is the balance in the Cost of Goods Sold account after the adjustment? (2 marks) Compute Exclusive Souvenirs' gross profit earned on the jobs, after adjusting for the manufacturing overhead variance (1% marks) f) Determine the balance in the Work in Process Inventory account on June 30 (3 marks) State and explain three (3) differences between a job costing system and a process costing system (3 marks) c de Exclusive Souvenirs Hut does customize, hand-crafted memorabilia for hotels, in which each batch of souvenirs is a job. The company uses a perpetual inventory system and has a highly labour-intensive production process, so it assigns manufacturing overhead based on direct labour cost. Exclusive's predetermined overhead rate for 2020 was computed from the following data: Total estimated factory overhead $2,400,000 Total estimated direct labour cost $2,000,000 The WIP account given below relates to the activities of Exclusive Souvenirs for the month of June: WIP Inventory A/C June 1 Balance b/f $15,000 Direct Materials Used 123,000 Additional data: Total material requisitioned $153,000 Manufacturing Labour Costs incurred $163,500 (75% represents direct labour) . Other manufacturing overheads incurred. $94,275 Two jobs were completed with total costs of $183,000 and $105,000 respectively. They were sold to the hotel on account at a margin of 33 1/3% on sales. Required: a) Compute Exclusive Souvenirs predetermined manufacturing overhead rate for 2020. (1% marks) b) State the journal entries necessary to record the following transactions in the general journal. (i) Total materials issued to production (ii) Manufacturing labour incurred (ii) Assign manufacturing labour to the appropriate accounts (iv)Other manufacturing overhead incurred () Manufacturing overhead applied to production (vi) Move completed jobs to finished goods (vii) Account for jobs completed and sold (9 marks) c) Post the manufacturing overhead transactions to the Manufacturing Overhead T-account. What is the balance on the account before performing end of period closing entries? Is manufacturing overhead under-or over-absorbed? State the journal entries necessary to dispose of the variance. Assume that the manufacturing overhead variance is immaterial. (5 marks) d) What is the balance in the cost of Goods Sold account after the adjustment? (2 marks) Compute Exclusive Souvenirs' gross profit earned on the jobs, after adjusting for the manufacturing overhead variance. (1% marks) f) Determine the balance in the Work in Process Inventory account on June 30 (3 marks) g) State and explain three (3) differences between a job costing system and a process costing system
Step by Step Solution
There are 3 Steps involved in it
Get step-by-step solutions from verified subject matter experts
