Question: Please evaluate the problem using mathematica, showing all the required steps. Thank you. 3. Produce a vector field using StreamPlot including the three initial conditions

Please evaluate the problem using mathematica, showing all the required steps. Thank you.
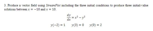
3. Produce a vector field using StreamPlot including the three initial conditions to produce three initial-value solutions between x=10 and x=10. dxdy=x2y2y(2)=1y(3)=0y(0)=2
Step by Step Solution
There are 3 Steps involved in it
Get step-by-step solutions from verified subject matter experts
