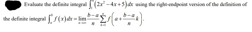
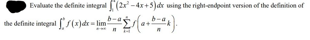
Question: Please explain and show all steps clearly. TY Evaluate the definite integral (2x-4x+5) dx using the right-endpoint version of the definition of b - a

Please explain and show all steps clearly. TY

Evaluate the definite integral (2x-4x+5) dx using the right-endpoint version of the definition of b - a b - a the definite integral [ f (x) dx = lim Eflat k 71-00 n k=1 n
Step by Step Solution
There are 3 Steps involved in it
Get step-by-step solutions from verified subject matter experts
