Question: Please explain every step that is happening especially the arrow pushing and what is being done in the enitre synthesis. Please explain in detail thank
Please explain every step that is happening especially the arrow pushing and what is being done in the enitre synthesis. Please explain in detail thank you so much.




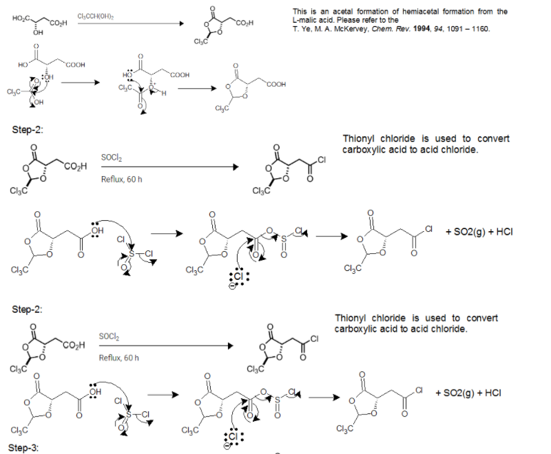
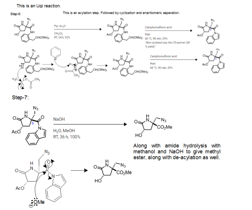
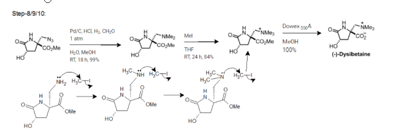
CICCH(OH)2 This is an acetal formation of hemiacetal formation from the L-malic acid. Please refer to the T. Ye, M. A. McKervey, Chem. Rev. 1994, 94, 1091 - 1160 OH CIC HO COOH HO COOH COOH CIC OH CIC Step-2: Thionyl chloride is used to convert carboxylic acid to acid chloride. SOCI COZH Reflux, 60 h CIC CIC + SO2(g) + HCI Cizc Clzc Step-2: Thionyl chloride is used to convert carboxylic acid to acid chloride. SOCIE CO2H Reflux, 60 h CIEC CIEC OH + SO2(g) + HCI CIC CIC CIZC Step-3: Step-3: o HCI, CH-N2 Et20 RT, 60 min, 97% (3 steps) See the Nierenstein reaction This is a Nierenstein reaction, where acid chloride is converted to alpha chloro ketone using diazomethane. CLC H.C=NENS Cl3C CIC CIzC Step-4: Nal, NaN MeCN RT, 90 min, 99% In this step, alpha azide via alpha iodide. Chloride is not a good leaving group hence it is first converted to alpha lodide and then azide is reacted to give desired product with 99% yield. CIC Cizc "N3 SN2 SN2 CIZC CIC CI2C Step-5: N3 TMSNH Im NC N3 Cena CH(OME) HO HFIPA RT, ON, 85% See the Ugi Reaction NH CH(OME) Cizc N3 N3 N3 HO NH CH(OME) CIZC TMS SMT H CH(OME) TMSN SMT This is an Ugi reaction. Step-6: This is an acylation step. Followed by cyclization and enantiomeric seperation. N3 HO Pyr, AC,0 NH CH_C12 CH(OME)? RT, 24 h 92% Acom NH Camphorsulfonic acid PhH CH(OME)2 60C, 90 min, 29% "Also isolated was the C5-epimer (50 % yield) Aco IN Camphorsulfonic acid NH PH NH CH(OME) CH(OME) Acom NH CH(OME) 60 C, 90 min, 29% HEC CHE Step-7: N3 NaOH N3 CO2Me Acom ,0, RT, 36 h, 100% HO N3 Along with amide hydrolysis with methanol and NaOH to give methyl ester, along with de-acylation as well. N3 CO2Me H HO AcO :OME Step-8/9/10 Mel Pa/C, HCI, H2, CH20 1 atm 0, RT, 18 h, 99% NMez COM Dowex 550A "NMez "co-Me 100% NMes coz HO (-)-Dysibetaine co Me HO THE HO HO RT 24h, 84% H2C NH Htc H2C NH, HCH H3C OMe OME Me HO HO HO
Step by Step Solution
There are 3 Steps involved in it
Get step-by-step solutions from verified subject matter experts
