Question: Please explain how to solve the following questions and reference any rules, formulas, or tricks that apply. 6.1 1. Find the particular integral of each

Please explain how to solve the following questions and reference any rules, formulas, or tricks that apply.

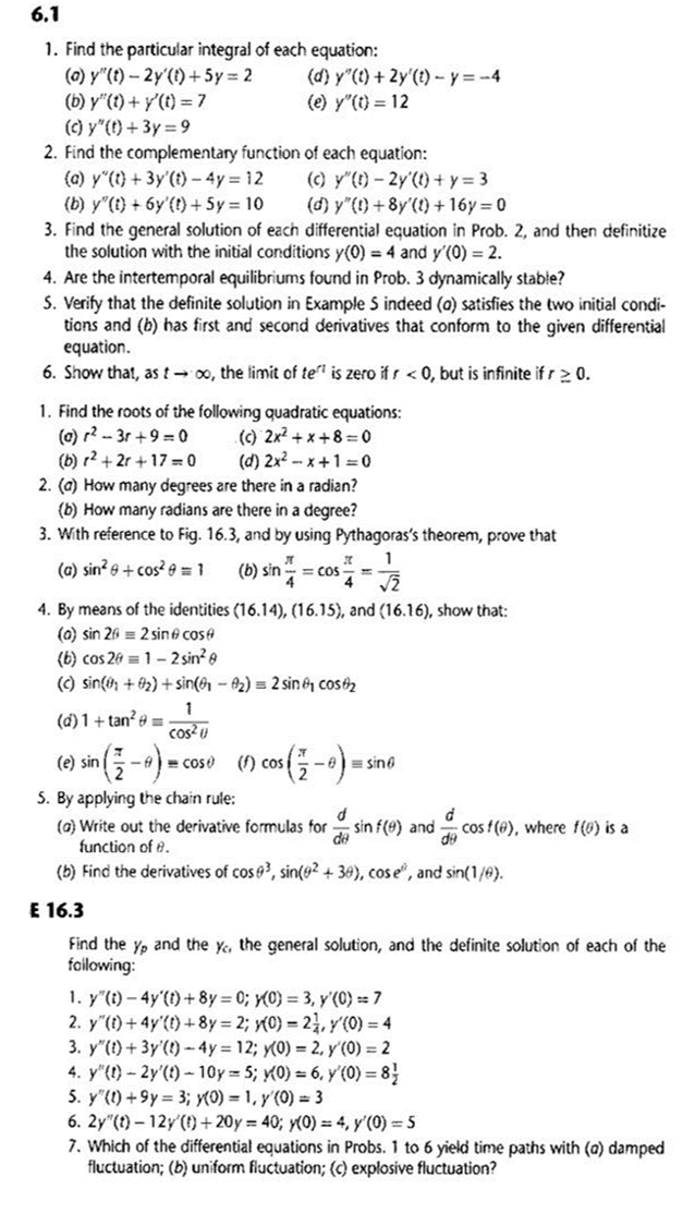
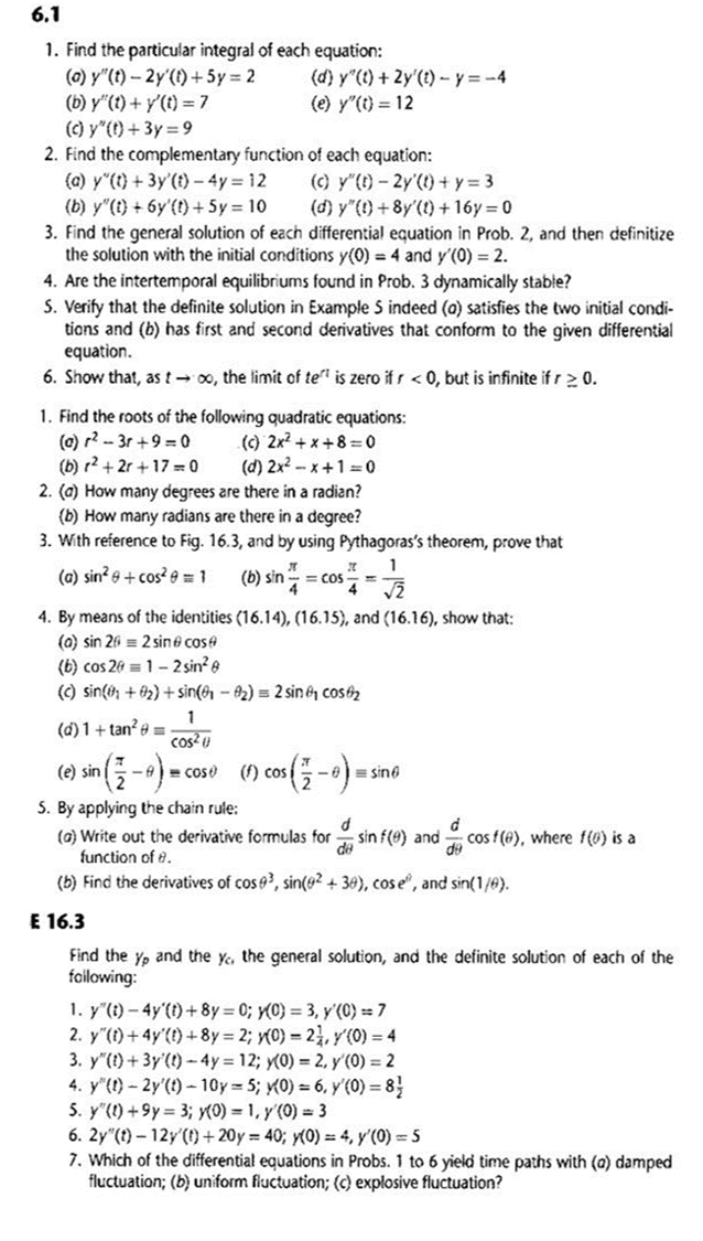
6.1 1. Find the particular integral of each equation: (@) y"(t) - 2y'(1) + 5y = 2 (d) y" (t ) + 2y' (1) - y=-4 (b) y" (t ) + y (0) =7 (e) y"(0) = 12 (c) y"(!) + 3y=9 2. Find the complementary function of each equation: (@) y"(t) + 3y'(t)- 4y = 12 (() y"(!) - 2y'(0)+ y =3 (b) y" (t) + 6y'(t) + 5y=10 (d) y"(!) + 8y'(1) + 16y =0 3. Find the general solution of each differential equation in Prob. 2, and then definitize the solution with the initial conditions y(0) = 4 and y'(0) = 2. 4. Are the intertemporal equilibriums found in Prob. 3 dynamically stable? 5. Verify that the definite solution in Example S indeed (o) satisfies the two initial condi- tions and (b) has first and second derivatives that conform to the given differential equation. 6. Show that, as f - oo, the limit of tell is zero if r
Step by Step Solution
There are 3 Steps involved in it
Get step-by-step solutions from verified subject matter experts
