Question: Please explain this question 3. PT DEF began operations on January 1, 2008. Cost and sales information for its first two calendar years of opera-
Please explain this question

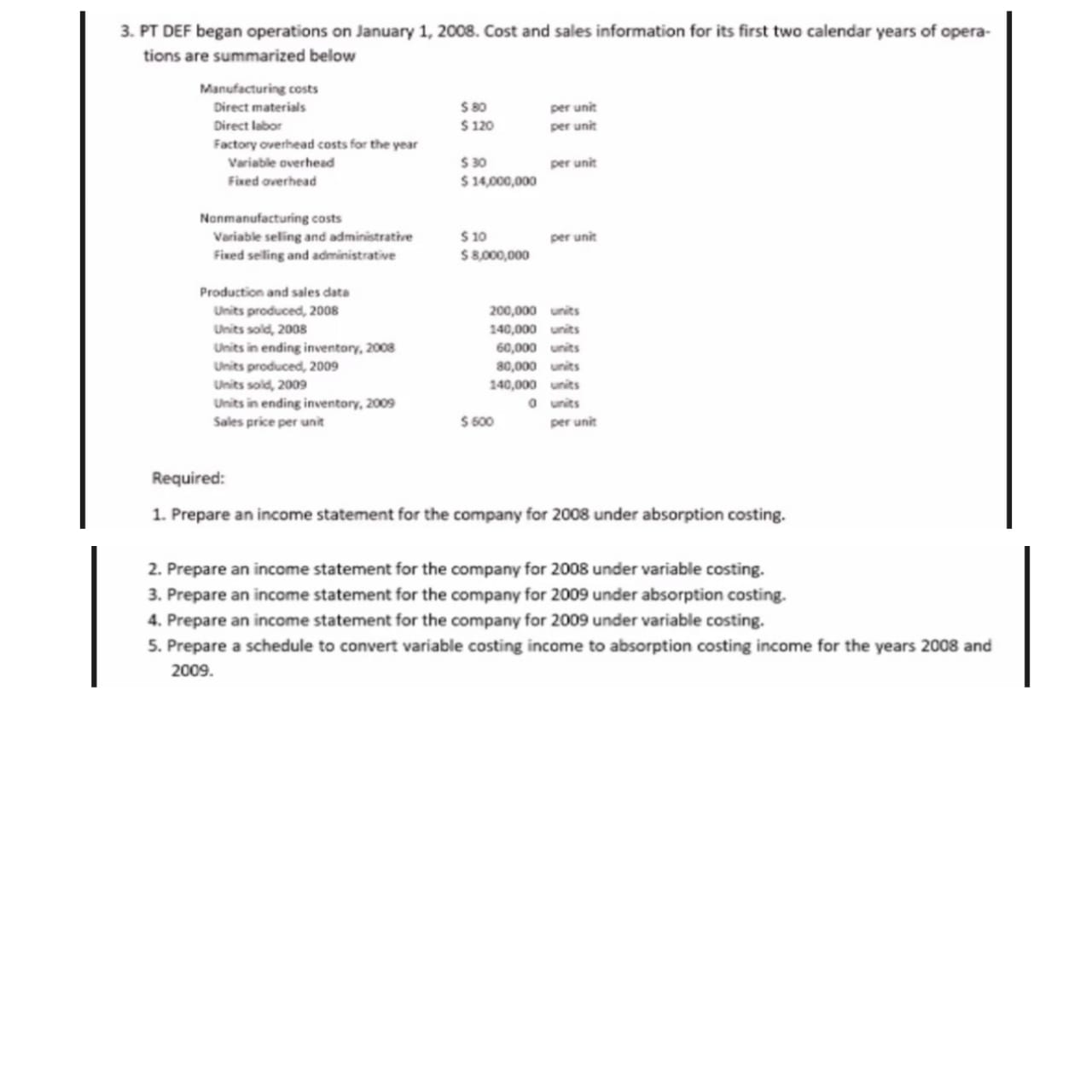
3. PT DEF began operations on January 1, 2008. Cost and sales information for its first two calendar years of opera- tions are summarized below Manufacturing costs Direct materials $ 80 per unit Direct labor $ 120 per unit Factory overhead costs for the year Variable overhead $ 30 per unit Fixed overhead $ 14,000,000 Nonmanufacturing costs Variable seling and administrative $ 10 per unit Fixed selling and a hinistrative $ 8,000,000 Production and sales data Units produced, 2008 200,000 units Units sold, 2008 140,000 units Units in ending inventory, 2008 60,000 units Units produced, 2009 80,000 units Units sold, 2009 140,000 units Units in ending inventory, 2009 units Sales price per unit $ 60 per unit Required: 1. Prepare an income statement for the company for 2008 under absorption costing. 2. Prepare an income statement for the company for 2008 under variable costing. 3. Prepare an income statement for the company for 2009 under absorption costing. 4. Prepare an income statement for the company for 2009 under variable costing. 5. Prepare a schedule to convert variable costing income to absorption costing income for the years 2008 and 2009
Step by Step Solution
There are 3 Steps involved in it
Get step-by-step solutions from verified subject matter experts
