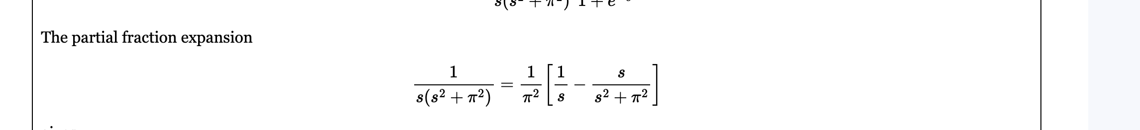
Question: Please explain to me the following partial fraction steps The partial fraction expansion S(S2 + T2) s
Please explain to me the following partial fraction steps


The partial fraction expansion S(S2 + T2) s
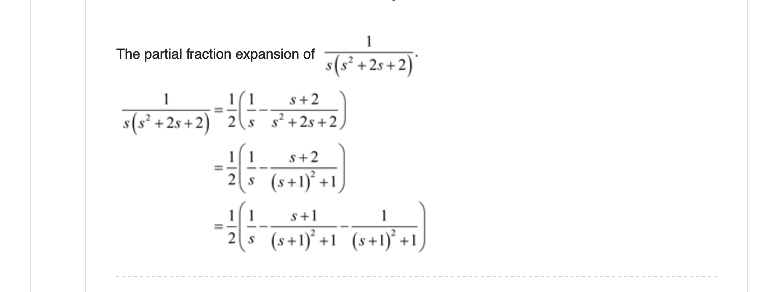
Step by Step Solution
There are 3 Steps involved in it
Get step-by-step solutions from verified subject matter experts
