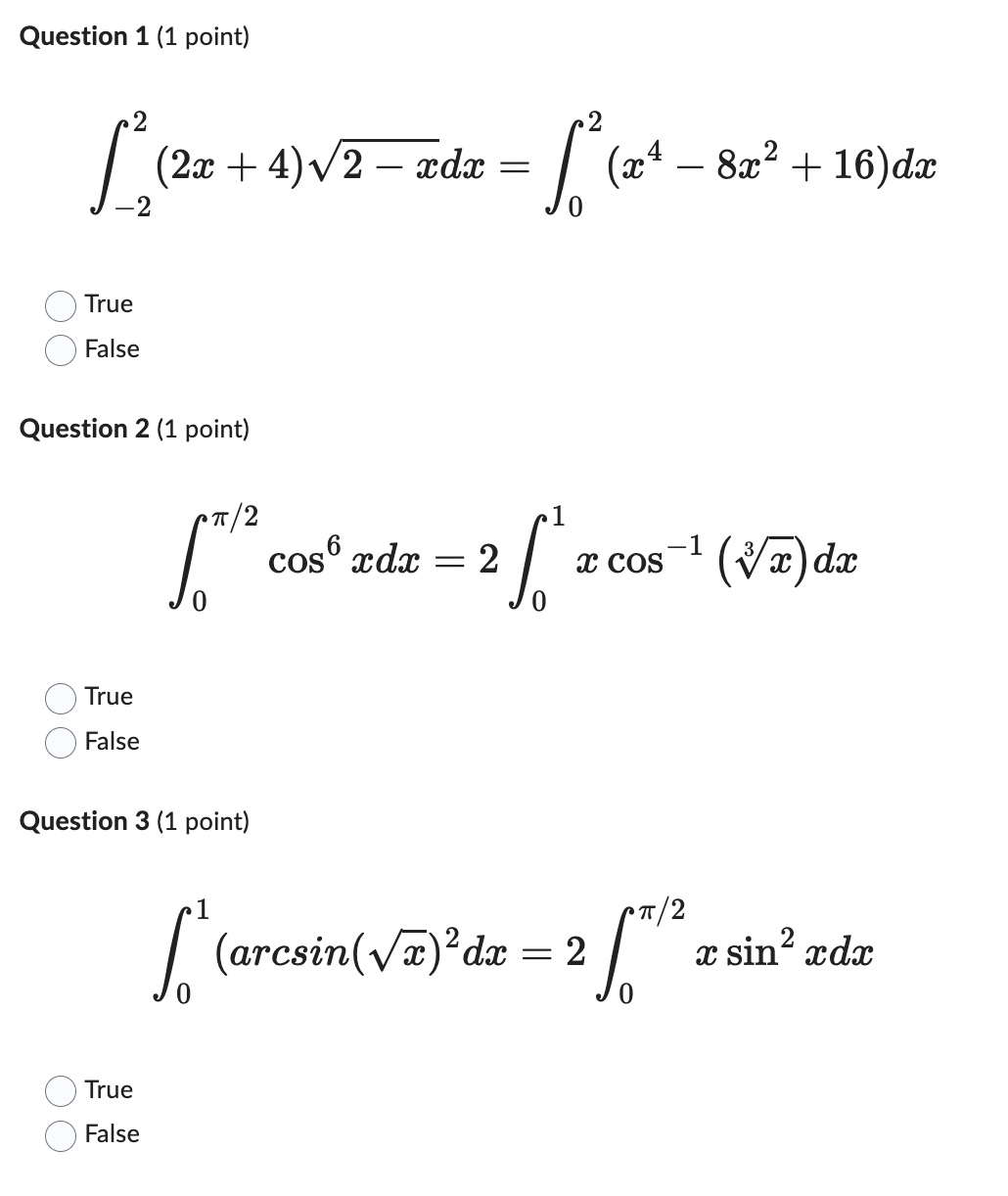
Question: Please focus on the shell method and not the disk method for these. Answer all 3 parts.
Please focus on the shell method and not the disk method for these. Answer all parts.
Step by Step Solution
There are 3 Steps involved in it
1 Expert Approved Answer
Step: 1 Unlock
Question Has Been Solved by an Expert!
Get step-by-step solutions from verified subject matter experts
Step: 2 Unlock
Step: 3 Unlock
