Question: Please give a complete explanation and do not copy the answer from somewhere else. Only answer if you know the concept. Thanks! Question (25 marks)
Please give a complete explanation and do not copy the answer from somewhere else. Only answer if you know the concept. Thanks!
Question (25 marks)
For this question, you should write a short report that explains how your program works and give some execution examples.
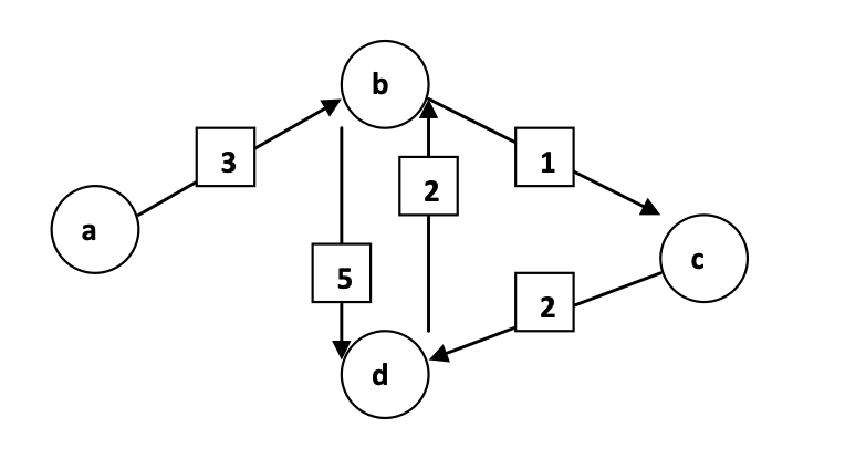
Consider the following graph that has costs attached to its edges:

Write a program in Prolog or Lisp that given two nodes X and Y in the graph above will find the minimum-cost path from node X to node Y and display the found path and its cost. All data about the graph should be declared in the program.
Example: the minimum path between a and d is [a,b,c,d] with cost = 6.
b 3 1 2 a 5 2
Step by Step Solution
There are 3 Steps involved in it
Get step-by-step solutions from verified subject matter experts
