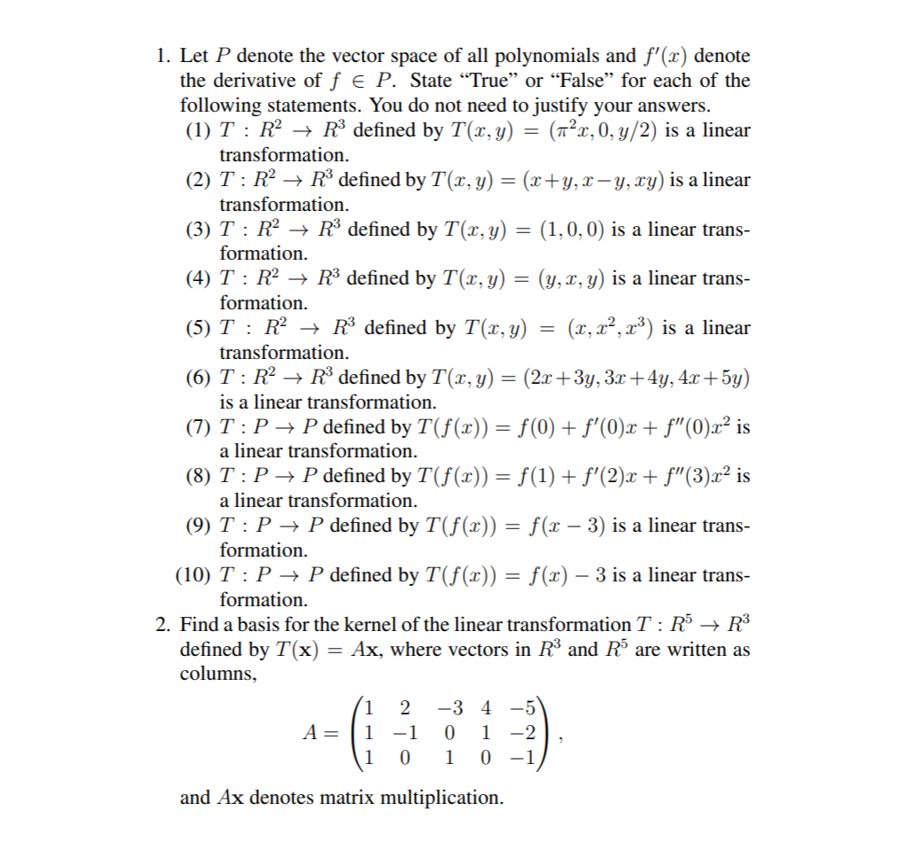
Question: Please give me a detailed solution and answer so that I can compare it with my solving process. 1. Let P denote the vector space
Please give me a detailed solution and answer so that I can compare it with my solving process.


Step by Step Solution
There are 3 Steps involved in it
1 Expert Approved Answer
Step: 1 Unlock
Question Has Been Solved by an Expert!
Get step-by-step solutions from verified subject matter experts
Step: 2 Unlock
Step: 3 Unlock
