Question: Please give the solution in C language only and attach the output screenshot QA 23.6 Write a program to compute the median element of the
Please give the solution in C language only and attach the output screenshot
QA 23.6 Write a program to compute the median element of the set of elements stored in the AVL tree.
The median of a set of n numbers is the element that appears in the n/2 th position, when the set
is written in sorted order. When n is even, n/2 and when n is odd, (n + 1)/2 is the position for
the median element. For example, if the set is 3, 2, 1, 4, 6 then the set in sorted order is 1, 2, 3,
4, 6, and the median is 3.
Consider a modified AVL tree in which each parent node stores both a key and the total no of nodes
in the right and left subtree + 1 .
struct node {
int key ;
int no of elements ;
struct node left;
struct node right ;
}
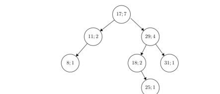
Heres an example of how the modified AVL tree would look (the number after a semicolon indicates the total no of elements in the right and left subtree + 1 ).

As the number of nodes below a given node does not remain the same, the no of elements value
at needs to be computed after each iteration. For example, after inserting 21 , the no of elements
values at the root node increased and updated as 8, similarly at node 18 its get decreased and
updated as 1.
Do not alter the structure of the tree (should use only one tree). Your program should include the
following functions.
getMedian(struct node* root): returns median element of the AVL tree.
Input Format:
Each line contains a character i followed by an integer separated by a space; a node with this
integer as key is created and inserted into the AVL.
Character g, is to get the median of the AVL tree.
Character t is to terminate the program.
Output Format:
Print median of the AVL tree.
Constraints:
1
Sample Input 1:
i 17
i 11
i 29
i 8
i 18
i 31
i 25
g
t
Sample Output 1:
18
Sample Input 2:
i 37
i 21
i 80
i 81
g
t
Sample Output 2:
37
Step by Step Solution
There are 3 Steps involved in it
Get step-by-step solutions from verified subject matter experts
