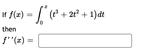
Question: Please Help 1. If f(a) = t dt 3 then f' ( ) = f' ( - 3) :If fac to + 2t + 1)




Please Help
1.






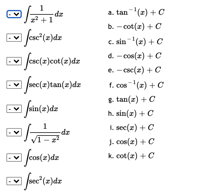
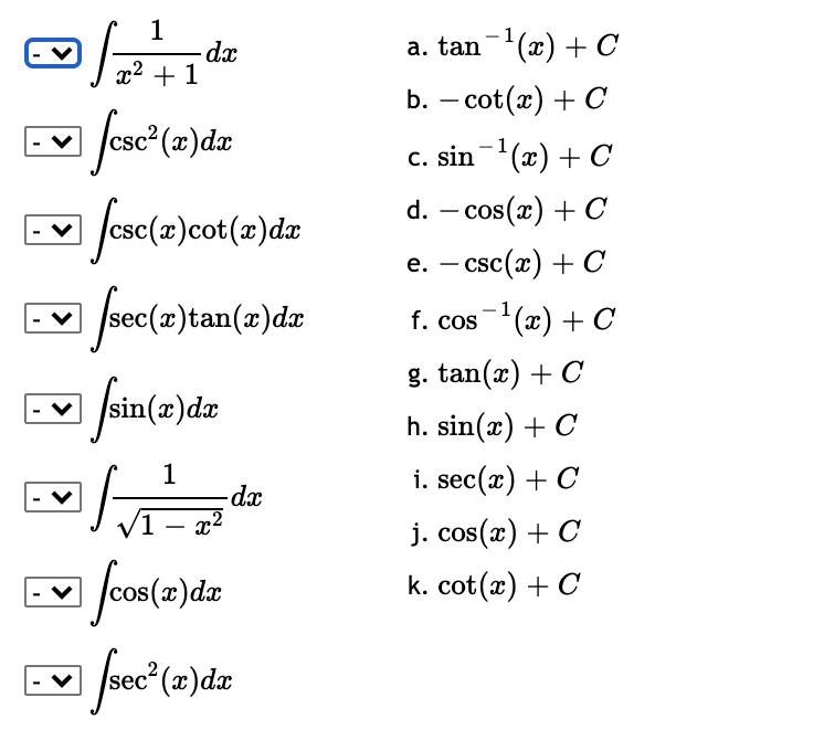
If f(a) = t dt 3 then f' ( ) = f' ( - 3) :If fac to + 2t" + 1) dt 0 then- vI a. tan (a) + C 2 + 1 b. - cot(ac) + C -v /csc? (x) dac c. sin (x) + C - v /csc(x)cot(x)dx d. - cos(ac) + C e. - csc(a) + C - v /sec(x) tan(x ) dac f. cos (x) + C g. tan(a) + C - v sin(x) dx h. sin(a) + C H - da i. sec(a) + C 1 - x2 j. cos(a) + C - v cos(x ) dx k. cot(ac) + C - v /sec? (x) da\f13 If f(ac) 2 = dt then T f' (a) =
Step by Step Solution
There are 3 Steps involved in it
Get step-by-step solutions from verified subject matter experts
