Question: Please help 3. Suppose we consider just a simple regression model with the federal funds rate as the dependent variable and housing starts as the
Please help








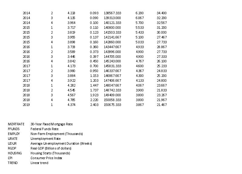
3. Suppose we consider just a simple regression model with the federal funds rate as the dependent variable and housing starts as the only explanatory variable. In addition to housing starts, consider the non-linear transformations of the natural log, the square, the square root, and the reciprocal of housing starts. What would your best simple regression equation in linking the federal funds rate and housing starts (using the best functional form)? Is this a good model? Explain 5841 5507 2003 2003 2003 2004 2004 2004 2004 2005 2005 2005 2005 2006 006 006 2006 2007 2007 2007 2007 2008 2008 2008 2008 2009 2009 1234 12341 2341 2 3 41 2 34 1 2 34 12341234 12341234 13 1 604 599 558 6. 1 5894 5.75 5. 8 5. 8 5. 64 6.26 6.247 6.602 6560 6.24 6.25 6. 38 6.552 6.25 582 6.087 6.32 5.841 5.00 5.012 5. 152 4.92 4.9% 4. 92 4.447 4.4$ 4.847 14.651 4.92 14.002 392 3. 3554 3 397 362 4.440 4.93 4. 1.50 10434.333 1.247 130304.38 1.017 130217657 0997 130522667 1003 13920 1010 13647667 1438 1397mm 1950 13843667 240 104. 2943 13780 3.60 13441 3.980 134951000 4.57 154.000 4.907 15274.667 5.247 153.667 5.247 13033 5. 27 1362. 5. SO 137986.667 5.073 1067,000 4.27 19 3.177 151.33 2.087 1388.000 1.9 137168.667 0.507 15568.667 0.183 133311.667 0.180 13150.667 0.27 1021.667 0.10 19.333 0.133 19805.667 0.93 130442.667 0.187 10417.33 0.187 1072.667 0.57 13108.3% 0.093 1316.667 0.083 1321.000 0073 132734.000 0.103 13823000 0.53 1842000 0.143 134528 0.160 1387 0.143 15514. 0.117 15099 667 0.083 15624.38 0.087 137E6. 0.073 137628 587 6133 6133 5833 5.0 SHI 5.48 5.483 50 510 4967 4967 4 468 46 4.438 450 4500 4667 4800 5000 5.333 6000 6867 8. 57 9. 0 9633 998 9833 9633 957 950 9033 9067 9 8633 857 80 8133 700 18. 57 19.433 19. 7 19.667 19933 9967 19.000 19533 157 18.00 1767 1768 1767 16. 800 17.100 16.00 16. 93 16.667 16.833 16.967 16.967 16.867 17. 9567 0.00 22.667 5.667 8.00 0.557 33933 33557 34.20 37.900 3.0 0533 2 28 30 2567 2009 mmmmmmmm 753 698 6667 5567 7.48 5.067 5.6% 2014 4.228 4.15 && 3.964 &&& &&& &&&& == 3.717 3.819 3.955 3.898 3.738 3.589 3.446 3.842 4.173 3.980 3.884 3.922 4.282 4.54 4.567 4.785 4.374 0.093 0.090 0.100 0.110 0.123 0.137 0.160 0.360 0.373 0.397 0.450 0.700 0.950 1.153 1.203 1.447 1.737 1.923 2.220 2.403 138567.333 139 313.000 140121.333 140800.000 141503.333 142141.667 142860.000 143447.667 143996.000 144705.000 145243.000 145831.333 146337.667 146867.667 147406.667 148047.667 148 742.333 149409.000 150058.333 150675.333 6.200 6067 5.700 5533 5.433 5.100 5033 4933 4900 4900 4.767 4600 4.367 4.300 4.133 4067 3900 3800 3800 3867 34.400 32.200 32.567 31.200 30.000 27.467 27.733 28.867 27.733 27.333 26.100 3.233 24.833 3.200 24.800 23.667 21.833 23.267 21.967 21.467 &&& &&& & MORT RATE FFUNDS EMPLOY URATE UDUR RGDP HOUSING 30-Year Fixed Mortgage Rate Federal Funds Rate Non-Farm Employment (Thousands) Unemployment Rae Average Unemployment Duration (Weeks) Real GDP (Billions of dollars) Housing Stats (Thousands) Consumer Price Index Linear trend CPI TREND RGDP HOUSING CPI 5097.179 2020.333 5139.128 2094.000 5151.245 2201.667 5245.974 2406.000 5365.045 2241.333 5415.712 2371.667 5506.396 2424.000 5642 669 2378.333 5704.098 2139.000 5674.100 2016.000 5727.960 1642.333 5678713 1586.000 5692.210 1515.333 5638411 1202.667 5616.526 1023.667 5548 156 976.333 5587.800 1071.000 5683.444 1250.000 5759.972 1341.667 5889.500 1442.000 5932.711 1449.667 5965.265 1557.000 6008 504 1691.333 6079.494 1844.333 6197.686 1918.667 6309.514 2009.000 6309.652 2075.333 6329.791 1829.333 6574.390 2114.000 6640.497 2019.333 6729.755 2039.667 6741.854 1665.667 6749.063 1845.667 6799.200 1790.000 6816.203 1567.667 6837.641 1246.000 6696.753 1058.000 TREND 40.300 40.700 41.000 41.333 41.600 41.933 42.367 43.033 43.933 44.800 45.933 47.300 48.567 49.933 51.467 52.567 53.200 54.267 55.267 55.900 56.400 57.300 58.133 59.200 60.233 61.067 61.967 63.033 64.467 65.967 67.500 69.200 71.400 73.700 76.033 79.033 81.700 6688.4 68135$ 6947.042 6895.559 15 6902.105 694.88 685.8 699, 1 6802.97 6892.144 02982 19896 73883 23. 612668 666.059 51 24.247 893.15 013674 73. 812.603 8185.03 853.6 8308.021 8599 850.233 853365 8680.162 875006 888541 88914 9009913 9101508 910977 9293 957.18 958, 89 92. 21 998, 9312.937 959,57 9341.642 988.85 | 192000 1505.000 16.3 1181.667 64.000 83.333 880.00 98.000 1118.567 182.667 160.333 1550.33 19167 13333 9000 1822657 152000 1508 114.8 17.667 101.000 | 1824.667 | 1898.667 | 18 .000 158.667 1712.33 11.333 1512.00 15500 52355 142.38 149065 124mm 1551 18.8 15.667 136.000 13.3% 142.667 1212.333 1132.000 1042.667 94.6657 | 1011.000 1042.333 838 557 87.933 857 92.57 93.67 94.00 95.57 97633 97933 98.00 9.133 100.00 101 100 102533 10300 104.400 105.00 106 57 1078 10700 109.000 1957 19.033 109.00 110.57 111.00 11357 114. 57 15.8 116.8 11757 11000 120.0 12167 123.68 124.00 12. 87 18.033 12.00 131.533 133.7 134.57 15. 57 15.00 mam8w88E8B%n%www 103 9421565 54.36 637,732 97329 9834.510 9850973 9908.347 9955.641 10091. 09 118954 10327.09 07.2 10506.372 1054364 1050 10665 060 10774 10817896 10998.22 11096.9 11212. 2015 1184.587 11472 137 116.65 117, 3 11832. 11942.032 1301.614 1287000 120393 12498.694 1662385 1877593 1224.1 13160.842 131.419 13260.506 13222690 13299.84 13244. 4 1380.859 1327.002 134. 2 15 .072 13559032 | 10800 1241.00 | 115266 | 1183.667 1228.333 115 7.567 16.00 19.000 1433.567 121000 1455 567 154.333 14720 1324000 187.38 1415.8 1417. 38 1460.567 1495.667 1E01.38 1417.000 1432.667 14.000 1457.667 1532.000 1558.667 52.3 1631.3 1722333 109.3% 1574.8 1650.657 1654.667 1659000 1586.667 IE03.667 1544.000 1605.000 160.000 1599.667 150,000 1723.000 | 1691.000 | 1697.333 | 179.667 137.8 17 123 12800 142.033 143.57 144. 100 144.57 16.57 15.0 147.533 18.00 1957 150. 87 152 100 15287 153 00 15567 156.400 57.300 158.67 129.633 160.00 160.00 161.67 152.00 162.533 163. 57 154.1% 154.83 16557 1670 1688.8 10.00 1148 17300 174.88 100 17133 177.633 177,500 18.57 1.57 180.433 181.500 108 121 122 123 15 13 130 131 132 133 134 15 588mm 1534.23 1351.543 1985.03 14145.65 14221.147 1439523 14464.984 10.8 1471.502 18882 12254 15066 597 E605 150205 1388 E46698 E2338 15582.0ES 15666. 51.967 1561.83 52.308 15657.032 1538.027 151597 15134.117 5189.222 556.058 541.15 1555727 1551957 50.65 51254 158296 1580.0 16004107 1612.418 16198.807 1620.667 16 .1 162964 1503.180 16531.685 165636 16621.696 175,000 153.567 | 1889.567 05.667 918.333 | 1937.333 197.000 1965.333 01.667 20151.333 2000.000 068.667 10.8 1855.000 102 50.000 161.38 1451.000 18.000 1166.000 1064.000 1010.667 62.333 653.000 55667 534.333 588.333 557667 518.000 602000 567 54238 8238 574.38 61.3% 671667 7. 38 8388 386 908.000 53.333 868.000 82.333 1009 000 934.00 183 183.57 184.43 185, 133 186.00 18.67 189.57 91.400 192.57 19367 1960 19. 199.67 2017 03.67 02. 04.17 206.631 07. 98 210, 0 212. 215.52 218 $1 213849 212.37 2137 25.44 217.00 217.74 21737 217934 29.99 2222044 224.558 25.8 227047 28. 36 28 808 29.841 231.59 232.99 232.045 233.00 234.63 25.621 10 171 172 173 174 15 1 177 1 1580.111 987000 103352 100567 111396 108 14.744 0.667 18702 1157.000 174802 1161.667 174E5. 1128 153.4 115.667 122.26 1160.667 16. US 151.333 1784.185 154.00 1863023 120.667 1995.150 1169.333 1810.843 11.333 18223. 58 159.667 1832353 1330.667 18511. 5 159.667 1866493 1233.000 18 65.56 | 1185.00 1890321213000 25872 237.48 28.0 2598 2372 237871 237.0 22.26 240.01 242.164 243. 80 244.65 245.58 247.273 22.50 0. 59 51.89 52.8 3.11 19 180 181 182 183 184 185 186 187 18 189 190 91 192 3. Suppose we consider just a simple regression model with the federal funds rate as the dependent variable and housing starts as the only explanatory variable. In addition to housing starts, consider the non-linear transformations of the natural log, the square, the square root, and the reciprocal of housing starts. What would your best simple regression equation in linking the federal funds rate and housing starts (using the best functional form)? Is this a good model? Explain 5841 5507 2003 2003 2003 2004 2004 2004 2004 2005 2005 2005 2005 2006 006 006 2006 2007 2007 2007 2007 2008 2008 2008 2008 2009 2009 1234 12341 2341 2 3 41 2 34 1 2 34 12341234 12341234 13 1 604 599 558 6. 1 5894 5.75 5. 8 5. 8 5. 64 6.26 6.247 6.602 6560 6.24 6.25 6. 38 6.552 6.25 582 6.087 6.32 5.841 5.00 5.012 5. 152 4.92 4.9% 4. 92 4.447 4.4$ 4.847 14.651 4.92 14.002 392 3. 3554 3 397 362 4.440 4.93 4. 1.50 10434.333 1.247 130304.38 1.017 130217657 0997 130522667 1003 13920 1010 13647667 1438 1397mm 1950 13843667 240 104. 2943 13780 3.60 13441 3.980 134951000 4.57 154.000 4.907 15274.667 5.247 153.667 5.247 13033 5. 27 1362. 5. SO 137986.667 5.073 1067,000 4.27 19 3.177 151.33 2.087 1388.000 1.9 137168.667 0.507 15568.667 0.183 133311.667 0.180 13150.667 0.27 1021.667 0.10 19.333 0.133 19805.667 0.93 130442.667 0.187 10417.33 0.187 1072.667 0.57 13108.3% 0.093 1316.667 0.083 1321.000 0073 132734.000 0.103 13823000 0.53 1842000 0.143 134528 0.160 1387 0.143 15514. 0.117 15099 667 0.083 15624.38 0.087 137E6. 0.073 137628 587 6133 6133 5833 5.0 SHI 5.48 5.483 50 510 4967 4967 4 468 46 4.438 450 4500 4667 4800 5000 5.333 6000 6867 8. 57 9. 0 9633 998 9833 9633 957 950 9033 9067 9 8633 857 80 8133 700 18. 57 19.433 19. 7 19.667 19933 9967 19.000 19533 157 18.00 1767 1768 1767 16. 800 17.100 16.00 16. 93 16.667 16.833 16.967 16.967 16.867 17. 9567 0.00 22.667 5.667 8.00 0.557 33933 33557 34.20 37.900 3.0 0533 2 28 30 2567 2009 mmmmmmmm 753 698 6667 5567 7.48 5.067 5.6% 2014 4.228 4.15 && 3.964 &&& &&& &&&& == 3.717 3.819 3.955 3.898 3.738 3.589 3.446 3.842 4.173 3.980 3.884 3.922 4.282 4.54 4.567 4.785 4.374 0.093 0.090 0.100 0.110 0.123 0.137 0.160 0.360 0.373 0.397 0.450 0.700 0.950 1.153 1.203 1.447 1.737 1.923 2.220 2.403 138567.333 139 313.000 140121.333 140800.000 141503.333 142141.667 142860.000 143447.667 143996.000 144705.000 145243.000 145831.333 146337.667 146867.667 147406.667 148047.667 148 742.333 149409.000 150058.333 150675.333 6.200 6067 5.700 5533 5.433 5.100 5033 4933 4900 4900 4.767 4600 4.367 4.300 4.133 4067 3900 3800 3800 3867 34.400 32.200 32.567 31.200 30.000 27.467 27.733 28.867 27.733 27.333 26.100 3.233 24.833 3.200 24.800 23.667 21.833 23.267 21.967 21.467 &&& &&& & MORT RATE FFUNDS EMPLOY URATE UDUR RGDP HOUSING 30-Year Fixed Mortgage Rate Federal Funds Rate Non-Farm Employment (Thousands) Unemployment Rae Average Unemployment Duration (Weeks) Real GDP (Billions of dollars) Housing Stats (Thousands) Consumer Price Index Linear trend CPI TREND RGDP HOUSING CPI 5097.179 2020.333 5139.128 2094.000 5151.245 2201.667 5245.974 2406.000 5365.045 2241.333 5415.712 2371.667 5506.396 2424.000 5642 669 2378.333 5704.098 2139.000 5674.100 2016.000 5727.960 1642.333 5678713 1586.000 5692.210 1515.333 5638411 1202.667 5616.526 1023.667 5548 156 976.333 5587.800 1071.000 5683.444 1250.000 5759.972 1341.667 5889.500 1442.000 5932.711 1449.667 5965.265 1557.000 6008 504 1691.333 6079.494 1844.333 6197.686 1918.667 6309.514 2009.000 6309.652 2075.333 6329.791 1829.333 6574.390 2114.000 6640.497 2019.333 6729.755 2039.667 6741.854 1665.667 6749.063 1845.667 6799.200 1790.000 6816.203 1567.667 6837.641 1246.000 6696.753 1058.000 TREND 40.300 40.700 41.000 41.333 41.600 41.933 42.367 43.033 43.933 44.800 45.933 47.300 48.567 49.933 51.467 52.567 53.200 54.267 55.267 55.900 56.400 57.300 58.133 59.200 60.233 61.067 61.967 63.033 64.467 65.967 67.500 69.200 71.400 73.700 76.033 79.033 81.700 6688.4 68135$ 6947.042 6895.559 15 6902.105 694.88 685.8 699, 1 6802.97 6892.144 02982 19896 73883 23. 612668 666.059 51 24.247 893.15 013674 73. 812.603 8185.03 853.6 8308.021 8599 850.233 853365 8680.162 875006 888541 88914 9009913 9101508 910977 9293 957.18 958, 89 92. 21 998, 9312.937 959,57 9341.642 988.85 | 192000 1505.000 16.3 1181.667 64.000 83.333 880.00 98.000 1118.567 182.667 160.333 1550.33 19167 13333 9000 1822657 152000 1508 114.8 17.667 101.000 | 1824.667 | 1898.667 | 18 .000 158.667 1712.33 11.333 1512.00 15500 52355 142.38 149065 124mm 1551 18.8 15.667 136.000 13.3% 142.667 1212.333 1132.000 1042.667 94.6657 | 1011.000 1042.333 838 557 87.933 857 92.57 93.67 94.00 95.57 97633 97933 98.00 9.133 100.00 101 100 102533 10300 104.400 105.00 106 57 1078 10700 109.000 1957 19.033 109.00 110.57 111.00 11357 114. 57 15.8 116.8 11757 11000 120.0 12167 123.68 124.00 12. 87 18.033 12.00 131.533 133.7 134.57 15. 57 15.00 mam8w88E8B%n%www 103 9421565 54.36 637,732 97329 9834.510 9850973 9908.347 9955.641 10091. 09 118954 10327.09 07.2 10506.372 1054364 1050 10665 060 10774 10817896 10998.22 11096.9 11212. 2015 1184.587 11472 137 116.65 117, 3 11832. 11942.032 1301.614 1287000 120393 12498.694 1662385 1877593 1224.1 13160.842 131.419 13260.506 13222690 13299.84 13244. 4 1380.859 1327.002 134. 2 15 .072 13559032 | 10800 1241.00 | 115266 | 1183.667 1228.333 115 7.567 16.00 19.000 1433.567 121000 1455 567 154.333 14720 1324000 187.38 1415.8 1417. 38 1460.567 1495.667 1E01.38 1417.000 1432.667 14.000 1457.667 1532.000 1558.667 52.3 1631.3 1722333 109.3% 1574.8 1650.657 1654.667 1659000 1586.667 IE03.667 1544.000 1605.000 160.000 1599.667 150,000 1723.000 | 1691.000 | 1697.333 | 179.667 137.8 17 123 12800 142.033 143.57 144. 100 144.57 16.57 15.0 147.533 18.00 1957 150. 87 152 100 15287 153 00 15567 156.400 57.300 158.67 129.633 160.00 160.00 161.67 152.00 162.533 163. 57 154.1% 154.83 16557 1670 1688.8 10.00 1148 17300 174.88 100 17133 177.633 177,500 18.57 1.57 180.433 181.500 108 121 122 123 15 13 130 131 132 133 134 15 588mm 1534.23 1351.543 1985.03 14145.65 14221.147 1439523 14464.984 10.8 1471.502 18882 12254 15066 597 E605 150205 1388 E46698 E2338 15582.0ES 15666. 51.967 1561.83 52.308 15657.032 1538.027 151597 15134.117 5189.222 556.058 541.15 1555727 1551957 50.65 51254 158296 1580.0 16004107 1612.418 16198.807 1620.667 16 .1 162964 1503.180 16531.685 165636 16621.696 175,000 153.567 | 1889.567 05.667 918.333 | 1937.333 197.000 1965.333 01.667 20151.333 2000.000 068.667 10.8 1855.000 102 50.000 161.38 1451.000 18.000 1166.000 1064.000 1010.667 62.333 653.000 55667 534.333 588.333 557667 518.000 602000 567 54238 8238 574.38 61.3% 671667 7. 38 8388 386 908.000 53.333 868.000 82.333 1009 000 934.00 183 183.57 184.43 185, 133 186.00 18.67 189.57 91.400 192.57 19367 1960 19. 199.67 2017 03.67 02. 04.17 206.631 07. 98 210, 0 212. 215.52 218 $1 213849 212.37 2137 25.44 217.00 217.74 21737 217934 29.99 2222044 224.558 25.8 227047 28. 36 28 808 29.841 231.59 232.99 232.045 233.00 234.63 25.621 10 171 172 173 174 15 1 177 1 1580.111 987000 103352 100567 111396 108 14.744 0.667 18702 1157.000 174802 1161.667 174E5. 1128 153.4 115.667 122.26 1160.667 16. US 151.333 1784.185 154.00 1863023 120.667 1995.150 1169.333 1810.843 11.333 18223. 58 159.667 1832353 1330.667 18511. 5 159.667 1866493 1233.000 18 65.56 | 1185.00 1890321213000 25872 237.48 28.0 2598 2372 237871 237.0 22.26 240.01 242.164 243. 80 244.65 245.58 247.273 22.50 0. 59 51.89 52.8 3.11 19 180 181 182 183 184 185 186 187 18 189 190 91 192
Step by Step Solution
There are 3 Steps involved in it
Get step-by-step solutions from verified subject matter experts
