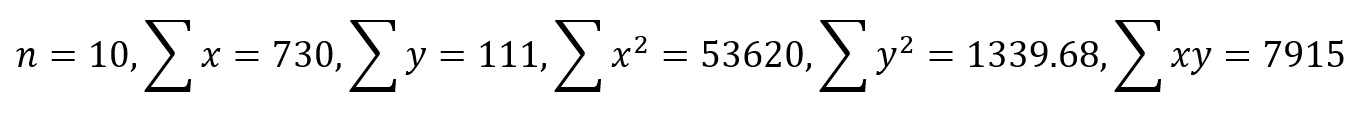
Question: please help. Answer questions on this page based upon this data. A medical researcher studied the relationship between two variables: a person's current age (
please help.
Answer questions on this page based upon this data. A medical researcher studied the relationship between two variables: a person's current age (x) and the expected number of years remaining (y). The following data summary values are given:

\f
Step by Step Solution
There are 3 Steps involved in it
Get step-by-step solutions from verified subject matter experts
