Question: Please help!!! id name host_since neighb_clean city state | room_type accomm bath Bed beds bed_type 2 1 1 2 5 2 1.5 1 1 2
Please help!!!





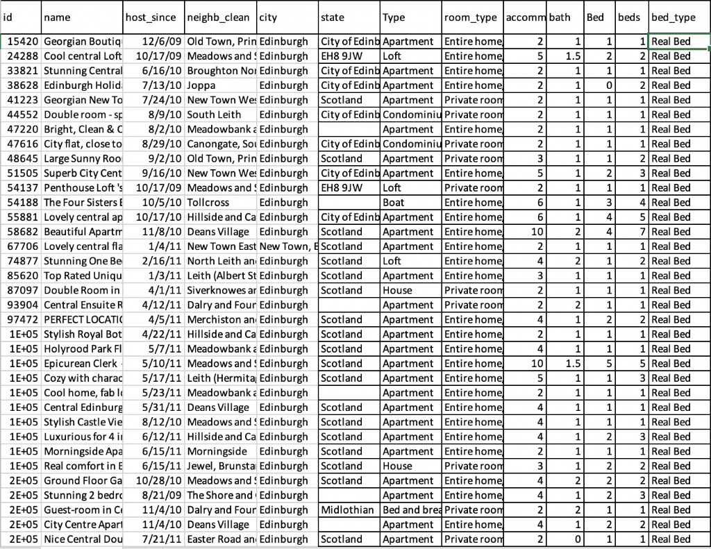
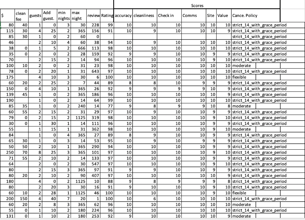
id name host_since neighb_clean city state | room_type accomm bath Bed beds bed_type 2 1 1 2 5 2 1.5 1 1 2 1 0 2. 1 1 1 1 2 2 1 1 2 1 1 1 1 3 5 1 2 2 1 1 6 1 3 6 1 4 4 10 2 2 1 1 2 1 4 3 1 1 15420 Georgian Boutiq 12/6/09 Old Town, Prin Edinburgh City of Edinb Apartment Entire home 24288 Cool central Loft 10/17/09 Meadows and Edinburgh EH8 9JW Loft Entire home 33821 Stunning Central 6/16/10 Broughton Nor Edinburgh City of Edinb Apartment Entire home 38628 Edinburgh Holid 7/13/10 Joppa Edinburgh City of Edinb Apartment Entire home 41223 Georgian New To 7/24/10 New Town We: Edinburgh Scotland Apartment Private roon 44552 Double room -sp 8/9/10 South Leith Edinburgh City of Edinb Condominiu Private roon 47220 Bright, Clean & C 8/2/10 Meadowbanka Edinburgh Apartment Entire homel 47616 City flat, close to 8/29/10 Canongate, Soi Edinburgh City of Edinb Condominiu Private roon 48645 Large Sunny Roo 9/2/10 Old Town, Prin Edinburgh Scotland Apartment Private roon 51505 Superb City Cent 9/16/10 New Town We: Edinburgh City of Edinb Apartment Entire home 54137 Penthouse Loft's 10/17/09 Meadows and Edinburgh EH8 9JW Loft Private roon 54188 The Four Sisters E 10/5/10 Tollcross Edinburgh Boat Entire homel 55881 Lovely central ap 10/17/10 Hillside and Ca Edinburgh City of Edinb Apartment Entire home 58682 Beautiful Apartm 11/8/10 Deans Village Edinburgh Scotland Apartment Entire home 67706 Lovely central fla 1/4/11 New Town East New Town, Scotland Apartment Entire homel 74877 Stunning One Be 2/16/11 North Leith an Edinburgh Scotland Loft Entire home 85620 Top Rated Uniqu 1/3/11 Leith (Albert St Edinburgh Scotland Apartment Entire homel 87097 Double Room in 4/1/11 Siverknowes ar Edinburgh Scotland House Private roon 93904 Central EnsuiteR 4/12/11 Dalry and Four Edinburgh Apartment Private roon 97472 PERFECT LOCATIO 4/5/11 Merchiston an Edinburgh Scotland Apartment Entire home 1E+05 Stylish Royal Bot 4/22/11 Hillside and Ca Edinburgh Scotland Apartment Entire home 1E+05 Holyrood Park FI 5/7/11 Meadowbanka Edinburgh Scotland Apartment Entire homel 1E+05 Epicurean Clerk 5/10/11 Meadows and ! Edinburgh Scotland Apartment Entire homel 1E+05 Cozy with charac 5/17/11 Leith (Hermita Edinburgh Scotland Apartment Entire home 1E+05 Cool home, fab 5/23/11 Meadowbank & Edinburgh Apartment Entire home 1E+05 Central Edinburg 5/31/11 Deans Village Edinburgh Scotland Apartment Entire home 1E+05 Stylish Castle Vie 8/12/10 Meadows and Edinburgh Scotland Apartment Entire home 1E+05 Luxurious for 4 in 6/12/11 Hillside and Ca Edinburgh Scotland Apartment Entire home 1E+05 Morningside Apa 6/15/11 Morningside Edinburgh Scotland Apartment Entire home 1E+05 Real comfort in E 6/15/11 Jewel, Brunsta Edinburgh Scotland House Private roon 2E+05 Ground Floor Ga 10/28/10 Meadows and Edinburgh Scotland Apartment Entire home 2E+05 Stunning 2 bedre 8/21/09 The Shore and Edinburgh Apartment Entire home 2E+05 Guest-room in C 11/4/10 Dalry and Four Edinburgh Midlothian Bed and bred Private roon 2E+05 City Centre Apart 11/4/10 Deans Village Edinburgh Apartment Entire home 2E+05 Nice Central Dou 7/21/11 Easter Road an Edinburgh Scotland Apartment Private roon 2 1 1 1 Real Bed 2 Real Bed 1 Real Bed 2 Real Bed 1 Real Bed 1 Real Bed 1 Real Bed 1 Real Bed 2 Real Bed 3 Real Bed 1 Real Bed 4 Real Bed 5 Real Bed 7 Real Bed 1 Real Bed 2 Real Bed 1 Real Bed 1 Real Bed 1 Real Bed 2 Real Bed 1 Real Bed 1 Real Bed 5 Real Bed 3 Real Bed 1 Real Bed 1 Real Bed 1 Real Bed 3 Real Bed 1 Real Bed 2 Real Bed 2 Real Bed 3 Real Bed 1 Real Bed 2 Real Bed 1 Real Bed 2 2 1 4 1 2 2 1 1 4 1 1 1.5 10 5 5 1 1 1 2 1 4 1 1 4 1 1 1 4 2 2 1 1 3 1 2 2 2 4 4 1 2 2 2 1 4 1 2 2 0 1 Scores $ Comms Site Value Cance. Policy 10 10 10 10 10 10 10 10 10 10 10 10 9 9 10 10 10 10 10 10 10 10 10 10 10 9 7 10 9 9 10 10 10 10 10 10 9 10 10 10 10 9 9 9 9 9 9 clean Add min max guests review Rating accuracy cleanliness Check in fee guest. nights night 80 40 1 0 3 30 228 99 10 10 115 30 4 25 2 365 156 91 10 9 85 30 1 0 2 60 0 46 2 10 4 60 38 94 10 9 38 0 1 5 2 666 113 98 10 10 35 0 2 0 2 28 159 92 9 9 70 2 15 2 14 94 96 10 10 100 10 2 0 2 31 23 98 10 10 78 0 2 20 1 31 643 97 10 10 175 4 10 3 30 6 100 10 10 60 20 2 25 2 44 89 8 8 150 0 4 10 1 365 26 92 9 9 139 45 1 0 2 365 186 96 10 10 190 1 0 2 14 64 99 10 10 85 35 1 0 2 240 14 77 9 8 60 55 2 15 2 31 29 97 10 9 79 0 2 15 2 1125 319 98 10 10 30 0 1 30 1 14 111 96 10 10 55 1 15 1 31 362 98 10 10 84 1 0 4 365 27 89 8 9 65 30 1 0 3 14 53 95 10 9 50 50 2 10 1 365 290 94 10 10 250 70 8 25 3 365 101 97 10 10 71 55 2 10 2 14 133 97 10 10 64 2 0 2 30 547 97 10 10 80 2 15 3 365 97 91 9 9 80 20 2 10 2 90 407 97 10 10 180 4 0 2 1125 10 88 9 8 80 2 20 3 30 16 91 9 10 60 10 2 28 1 1125 46 100 10 10 200 150 4 40 7 20 1 100 10 6 60 20 2 8 3 365 62 96 10 10 55 0 1 10 2 180 224 96 10 10 131 0 1 10 2 180 253 92 9 101 10 10 10 10 10 10 10 10 10 strict_14_with_grace_period 9 strict_14_with_grace_period strict_14_with_grace_period 10 strict_14_with_grace_period 10 strict_14_with_grace_period 9 strict_14_with_grace_period 10 strict_14_with_grace_period 10 moderate 10 strict_14_with_grace_period 10 flexible 9 strict_14_with_grace_period 9 strict_14_with_grace_period 9 strict_14_with_grace_period 10 strict_14_with_grace_period 8 moderate 9 strict_14_with_grace_period 10 strict_14_with_grace_period 9 strict_14_with_grace_period 10 moderate 9 strict_14_with_grace_period 9 strict_14_with_grace_period 9 strict_14_with_grace_period 10 strict_14_with_grace_period 9 strict_14_with_grace_period 10 strict_14_with_grace_period 9 strict_14_with_grace_period 9 strict_14_with_grace_period 8 strict_14_with_grace_period 10 strict_14_with_grace_period 10 flexible 10 strict_14_with_grace_period 10 moderate 10 strict_14_with_grace_period 9 moderate 10 10 10 9 9 9 9 10 9 10 10 10 10 10 10 10 10 10 9 9 9 10 10 10 9 9 9 9 10 10 10 9 10 10 10 10 10 10 10 10 10 10 10 10 10 3. Provide relevant information for your variables. For example, provide the number of occurrences of certain categorical responses for a categorical variable; provide the minimum value, maximum value, average value, etc for any quantitative variables. 4. For question 3 above, please indicate here what commands you used to find this information. (For example, what did you type into Excel in order to find the categorical possibilities for a given categorical variable? What commands did you type into R in order to use this information?) You may cut-and-paste your commands here. 5. Are there any issues with the data (missing values, apparent typos, unexpected/odd values, etc)? If so, be sure to explain these and how they might impact your analysis. If you do not feel there are any issues with the data, please indicate so here. id name host_since neighb_clean city state | room_type accomm bath Bed beds bed_type 2 1 1 2 5 2 1.5 1 1 2 1 0 2. 1 1 1 1 2 2 1 1 2 1 1 1 1 3 5 1 2 2 1 1 6 1 3 6 1 4 4 10 2 2 1 1 2 1 4 3 1 1 15420 Georgian Boutiq 12/6/09 Old Town, Prin Edinburgh City of Edinb Apartment Entire home 24288 Cool central Loft 10/17/09 Meadows and Edinburgh EH8 9JW Loft Entire home 33821 Stunning Central 6/16/10 Broughton Nor Edinburgh City of Edinb Apartment Entire home 38628 Edinburgh Holid 7/13/10 Joppa Edinburgh City of Edinb Apartment Entire home 41223 Georgian New To 7/24/10 New Town We: Edinburgh Scotland Apartment Private roon 44552 Double room -sp 8/9/10 South Leith Edinburgh City of Edinb Condominiu Private roon 47220 Bright, Clean & C 8/2/10 Meadowbanka Edinburgh Apartment Entire homel 47616 City flat, close to 8/29/10 Canongate, Soi Edinburgh City of Edinb Condominiu Private roon 48645 Large Sunny Roo 9/2/10 Old Town, Prin Edinburgh Scotland Apartment Private roon 51505 Superb City Cent 9/16/10 New Town We: Edinburgh City of Edinb Apartment Entire home 54137 Penthouse Loft's 10/17/09 Meadows and Edinburgh EH8 9JW Loft Private roon 54188 The Four Sisters E 10/5/10 Tollcross Edinburgh Boat Entire homel 55881 Lovely central ap 10/17/10 Hillside and Ca Edinburgh City of Edinb Apartment Entire home 58682 Beautiful Apartm 11/8/10 Deans Village Edinburgh Scotland Apartment Entire home 67706 Lovely central fla 1/4/11 New Town East New Town, Scotland Apartment Entire homel 74877 Stunning One Be 2/16/11 North Leith an Edinburgh Scotland Loft Entire home 85620 Top Rated Uniqu 1/3/11 Leith (Albert St Edinburgh Scotland Apartment Entire homel 87097 Double Room in 4/1/11 Siverknowes ar Edinburgh Scotland House Private roon 93904 Central EnsuiteR 4/12/11 Dalry and Four Edinburgh Apartment Private roon 97472 PERFECT LOCATIO 4/5/11 Merchiston an Edinburgh Scotland Apartment Entire home 1E+05 Stylish Royal Bot 4/22/11 Hillside and Ca Edinburgh Scotland Apartment Entire home 1E+05 Holyrood Park FI 5/7/11 Meadowbanka Edinburgh Scotland Apartment Entire homel 1E+05 Epicurean Clerk 5/10/11 Meadows and ! Edinburgh Scotland Apartment Entire homel 1E+05 Cozy with charac 5/17/11 Leith (Hermita Edinburgh Scotland Apartment Entire home 1E+05 Cool home, fab 5/23/11 Meadowbank & Edinburgh Apartment Entire home 1E+05 Central Edinburg 5/31/11 Deans Village Edinburgh Scotland Apartment Entire home 1E+05 Stylish Castle Vie 8/12/10 Meadows and Edinburgh Scotland Apartment Entire home 1E+05 Luxurious for 4 in 6/12/11 Hillside and Ca Edinburgh Scotland Apartment Entire home 1E+05 Morningside Apa 6/15/11 Morningside Edinburgh Scotland Apartment Entire home 1E+05 Real comfort in E 6/15/11 Jewel, Brunsta Edinburgh Scotland House Private roon 2E+05 Ground Floor Ga 10/28/10 Meadows and Edinburgh Scotland Apartment Entire home 2E+05 Stunning 2 bedre 8/21/09 The Shore and Edinburgh Apartment Entire home 2E+05 Guest-room in C 11/4/10 Dalry and Four Edinburgh Midlothian Bed and bred Private roon 2E+05 City Centre Apart 11/4/10 Deans Village Edinburgh Apartment Entire home 2E+05 Nice Central Dou 7/21/11 Easter Road an Edinburgh Scotland Apartment Private roon 2 1 1 1 Real Bed 2 Real Bed 1 Real Bed 2 Real Bed 1 Real Bed 1 Real Bed 1 Real Bed 1 Real Bed 2 Real Bed 3 Real Bed 1 Real Bed 4 Real Bed 5 Real Bed 7 Real Bed 1 Real Bed 2 Real Bed 1 Real Bed 1 Real Bed 1 Real Bed 2 Real Bed 1 Real Bed 1 Real Bed 5 Real Bed 3 Real Bed 1 Real Bed 1 Real Bed 1 Real Bed 3 Real Bed 1 Real Bed 2 Real Bed 2 Real Bed 3 Real Bed 1 Real Bed 2 Real Bed 1 Real Bed 2 2 1 4 1 2 2 1 1 4 1 1 1.5 10 5 5 1 1 1 2 1 4 1 1 4 1 1 1 4 2 2 1 1 3 1 2 2 2 4 4 1 2 2 2 1 4 1 2 2 0 1 Scores $ Comms Site Value Cance. Policy 10 10 10 10 10 10 10 10 10 10 10 10 9 9 10 10 10 10 10 10 10 10 10 10 10 9 7 10 9 9 10 10 10 10 10 10 9 10 10 10 10 9 9 9 9 9 9 clean Add min max guests review Rating accuracy cleanliness Check in fee guest. nights night 80 40 1 0 3 30 228 99 10 10 115 30 4 25 2 365 156 91 10 9 85 30 1 0 2 60 0 46 2 10 4 60 38 94 10 9 38 0 1 5 2 666 113 98 10 10 35 0 2 0 2 28 159 92 9 9 70 2 15 2 14 94 96 10 10 100 10 2 0 2 31 23 98 10 10 78 0 2 20 1 31 643 97 10 10 175 4 10 3 30 6 100 10 10 60 20 2 25 2 44 89 8 8 150 0 4 10 1 365 26 92 9 9 139 45 1 0 2 365 186 96 10 10 190 1 0 2 14 64 99 10 10 85 35 1 0 2 240 14 77 9 8 60 55 2 15 2 31 29 97 10 9 79 0 2 15 2 1125 319 98 10 10 30 0 1 30 1 14 111 96 10 10 55 1 15 1 31 362 98 10 10 84 1 0 4 365 27 89 8 9 65 30 1 0 3 14 53 95 10 9 50 50 2 10 1 365 290 94 10 10 250 70 8 25 3 365 101 97 10 10 71 55 2 10 2 14 133 97 10 10 64 2 0 2 30 547 97 10 10 80 2 15 3 365 97 91 9 9 80 20 2 10 2 90 407 97 10 10 180 4 0 2 1125 10 88 9 8 80 2 20 3 30 16 91 9 10 60 10 2 28 1 1125 46 100 10 10 200 150 4 40 7 20 1 100 10 6 60 20 2 8 3 365 62 96 10 10 55 0 1 10 2 180 224 96 10 10 131 0 1 10 2 180 253 92 9 101 10 10 10 10 10 10 10 10 10 strict_14_with_grace_period 9 strict_14_with_grace_period strict_14_with_grace_period 10 strict_14_with_grace_period 10 strict_14_with_grace_period 9 strict_14_with_grace_period 10 strict_14_with_grace_period 10 moderate 10 strict_14_with_grace_period 10 flexible 9 strict_14_with_grace_period 9 strict_14_with_grace_period 9 strict_14_with_grace_period 10 strict_14_with_grace_period 8 moderate 9 strict_14_with_grace_period 10 strict_14_with_grace_period 9 strict_14_with_grace_period 10 moderate 9 strict_14_with_grace_period 9 strict_14_with_grace_period 9 strict_14_with_grace_period 10 strict_14_with_grace_period 9 strict_14_with_grace_period 10 strict_14_with_grace_period 9 strict_14_with_grace_period 9 strict_14_with_grace_period 8 strict_14_with_grace_period 10 strict_14_with_grace_period 10 flexible 10 strict_14_with_grace_period 10 moderate 10 strict_14_with_grace_period 9 moderate 10 10 10 9 9 9 9 10 9 10 10 10 10 10 10 10 10 10 9 9 9 10 10 10 9 9 9 9 10 10 10 9 10 10 10 10 10 10 10 10 10 10 10 10 10 3. Provide relevant information for your variables. For example, provide the number of occurrences of certain categorical responses for a categorical variable; provide the minimum value, maximum value, average value, etc for any quantitative variables. 4. For question 3 above, please indicate here what commands you used to find this information. (For example, what did you type into Excel in order to find the categorical possibilities for a given categorical variable? What commands did you type into R in order to use this information?) You may cut-and-paste your commands here. 5. Are there any issues with the data (missing values, apparent typos, unexpected/odd values, etc)? If so, be sure to explain these and how they might impact your analysis. If you do not feel there are any issues with the data, please indicate so here
Step by Step Solution
There are 3 Steps involved in it
Get step-by-step solutions from verified subject matter experts
