Question: PLEASE HELP, ILL RATE ASAP, DOUBLE CHECK WORK Let w(x, y, z) = x ty' + z where x = - 2re, y = 6te
PLEASE HELP, ILL RATE ASAP, DOUBLE CHECK WORK
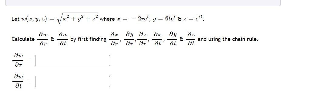
Let w(x, y, z) = \\x ty' + z where x = - 2re, y = 6te" a z =e". az aw Ox dy Oz Ox dy and using the chain rule. Calculate by first finding & at ar at ar' ar' Or' at' at aw ar aw atLet z(x, y) = 4x + y where x = - 8s + 7tay = - 6s + 8t. Oz dy Ox by first finding and using the chain rule. Calculate & & at as' as' at at dz ds dz dtLet z(x, y) = xy where x = rcos(40) a y = r sin(60). az az Ox dy Ox ay and using the chain rule. Calculate & & ar ae by first finding ar' Or' 20 ae Note: To produce the 0 symbol, type the word "theta". az ar =Given f(a':, y] = 5111(a: + y) where a: = sts, y = 63 5t. Find fs($(31t):y(33t}}=' ] mm as m m = :1 Note: This question is looking for the answer to be only in terms of .9 and t. \f
Step by Step Solution
There are 3 Steps involved in it
Get step-by-step solutions from verified subject matter experts





