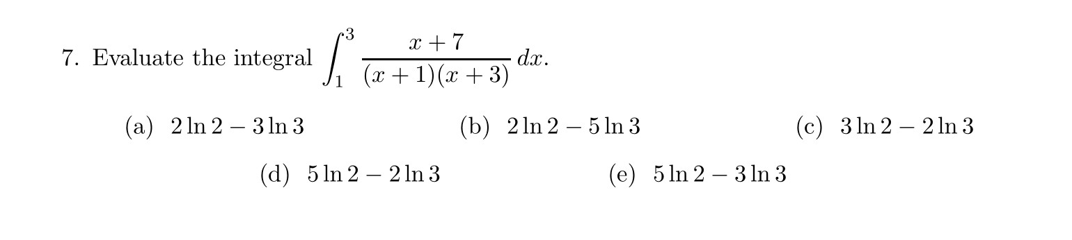
Question: Please help me 7. Evaluate the integral x +7 dx. (ac + 1) (2 + 3) (a) 21n 2 - 31n 3 (b) 2In 2

Please help me

7. Evaluate the integral x +7 dx. (ac + 1) (2 + 3) (a) 21n 2 - 31n 3 (b) 2In 2 - 5 1n 3 (c) 312 - 21n 3 (d) 51n2 - 213 (e) 5In 2 - 3 In 3
Step by Step Solution
There are 3 Steps involved in it
Get step-by-step solutions from verified subject matter experts
