Question: Please help me answer the even exercises starting from 18-42 . I'm going to post some exercises related to the question. Please, follow the same




Please help me answer the even exercises starting from 18-42. I'm going to post some exercises related to the question. Please, follow the same format as is shown in the examples.






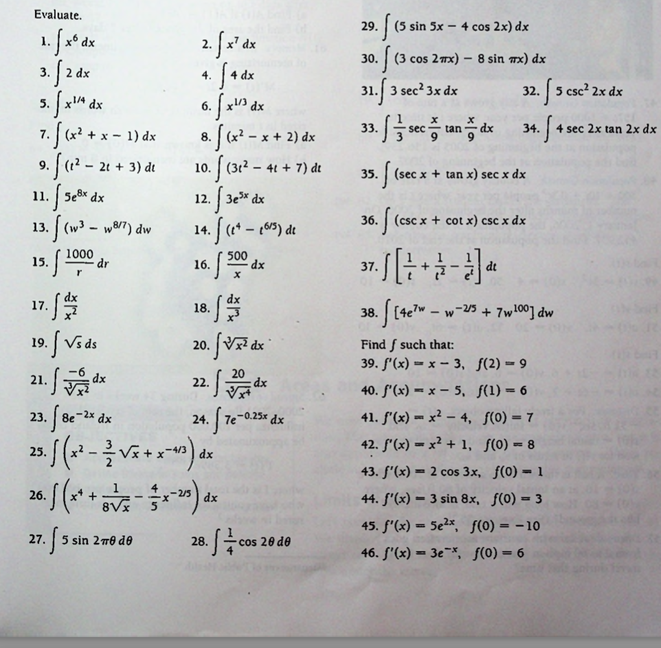
Evaluate. 29. (5 sin 5x - 4 cos 2x) dx 1. x6 dx 2. x dx 30. (3 cos 27x) - 8 sin TX) dx 3 . 2 dx 4 . 4 dx 5. x 1/4 dx 31. 3 sec2 3x dx 32. 5 csc2 2x dx 6. x 1/3 dx 7. ( x 2 + x - 1) dx 8. ( x 2 - x + 2) dx 33. 3 sec tan o dx 34. 4 sec 2x tan 2x dx 9. / (12 - 21 + 3) di 10. ( 3 1 2 - 41 + 7 ) de 35. (sec x + tan x) sec x dx 11. Se 8x dx 12. 3e 5x dx 13 . ( w 3 - w 8/7) dw 14 . ( 1 4 - ( 615 ) de 36. (csc x + cot x) csc x dx 15 . 1000 - dr 16. 500 - dx 37. 1 + + 3- de 17. 2 18. 38 . [ 4 7 W - w - 215 + 7 w 100 ] dw 19. V'sds 20. Vxz dx Find f such that: 39. f' (x) = x - 3, f(2) = 9 -6 dx 21. Vxz 22 . [20 dx 40. S' (x) = x - 5, f(1) = 6 23. 8e -2x dx 24. 7e -0.25x dx 41. f'(x) = x2 - 4, f(0) = 7 25. (x 2 - 2 Vx+ x-413 dx 42. S' (x) = x2 + 1, f(0) = 8 43. f'(x) = 2 cos 3x, f(0) = 1 26. (* + + 1 +8V X - 3 x - 215 dx 44. f'(x) = 3 sin 8x, f(0) = 3 45. f' (x) = 5e2x, f(0)=-10 27. 5 sin 2 70 de 28. - cos 20 de 46. S' (x) = 3ex, f(0) = 6Pg # 345 number rule # 1 # 2 is n S x'dx 3 ) S 2d x going to be + C 6+1 = 2x +c use most of the = x 7 +C time 7 ) S ( x 2 + x - 1 ) d x 5) SX " d x = S x ' cl x + Sxclx- Sid x = X241 + x + + Xit! - 1X + C 4 C (2 + 1) (1 + 1 ) 4 + 1 X 2 + x 2 - X + C 3 2 a ) ST ? - 2 7 + 3 ) di T3 - 272 + 37 + C 2 7 # 3 271+2 Ex : S ( T X + x 3/ 2 - 5 ) d x X 1+ 2 S ( x /2 + x 3/2 - 5 x - 1 ) dx = X 3/2 + x 312 - 5 Inx + C ( 3 ) (5 ) - 2 x 312 + 2 x 5/2 - 5 Inx +C 5\fW 27 ) S 5sin 2 mode =- 5cosanode 2 1 20) S ( s sin 5 x-4cos2x ) dx 8 - cos 5x _ Ysin2x + C 44 = - COS 5 x- Sinzx + C 31 ) 1 3 sec 2 3 x dx 33 ) S 3 sec * tan & dx = 23 tan 3 x + c 3 sec ( g ) + c tan 3 x +c 3 5 ) S ( sec x tan x ] secxdx = S ( sec x + secx tanx ) lx = S sec 2 x cdx + Ssextany dx = Tanx - secx -10\f4 3 ) F ( x ) = 2 (05 3 x , flo ) = 13 S ( acos 3 x ) = 2 sin 3 x +C 3 1 = 2 5in3(0 )+c 3 I C = 1 f ( x ) = asin 3 * + 1 3 4 5 ) f ' ( x ) = 5 e 2 x , f ( 0 ) = - 10 S ( 5 e2x ) = 2 x 2 - 10 = 502(0) + C 2 C = - 12-5 f ( x ) = 5e2x - 25 2 2
Step by Step Solution
There are 3 Steps involved in it
Get step-by-step solutions from verified subject matter experts
